FORM DEF 14A
Table of Contents

UNITED STATES
SECURITIES AND EXCHANGE COMMISSION
Washington, D.C. 20549

SCHEDULE 14A

Proxy Statement Pursuant to Section 14(a) of the Securities
Exchange Act of 1934 (Amendment No.     )

  Filed by the Registrant   þ
  Filed by a Party other than the Registrant   o
 
  Check the appropriate box:

  o   Preliminary Proxy Statement
  o   Confidential, for Use of the Commission Only (as permitted by Rule 14a-6(e)(2))
  þ   Definitive Proxy Statement
  o   Definitive Additional Materials
  o   Soliciting Material Pursuant to §240.14a-12

Universal Forest Products, Inc.
(Name of Registrant as Specified In Its Charter)
 
(Name of Person(s) Filing Proxy Statement, if other than the Registrant)

      Payment of Filing Fee (Check the appropriate box):

  þ   No fee required.
  o   Fee computed on table below per Exchange Act Rules 14a-6(i)(1) and 0-11.

        1) Title of each class of securities to which transaction applies:

        2) Aggregate number of securities to which transaction applies:

        3) Per unit price or other underlying value of transaction computed pursuant to Exchange Act Rule 0-11 (set forth the amount on which the filing fee is calculated and state how it was determined):

        4) Proposed maximum aggregate value of transaction:

        5) Total fee paid:

        o   Fee paid previously with preliminary materials.

        o   Check box if any part of the fee is offset as provided by Exchange Act Rule 0-11(a)(2) and identify the filing for which the offsetting fee was paid previously. Identify the previous filing by registration statement number, or the Form or Schedule and the date of its filing.

        1) Amount Previously Paid:

        2) Form, Schedule or Registration Statement No.:

        3) Filing Party:

        4) Date Filed:

SEC 1913 (11-01) Persons who are to respond to the collection of information contained in this form are not required to respond unless the form displays a currently valid OMB control number.


Table of Contents

Universal Forest Products, Inc.
2801 East Beltline NE
Grand Rapids, MI 49525
Notice of Annual Meeting
     The Annual Meeting of Shareholders of Universal Forest Products, Inc. will be held at the Company’s Technology and Training Building, 2880 East Beltline Lane NE, Grand Rapids, MI 49525, on Wednesday, April 15, 2009, at 8:30 a.m. local time (registration begins at 8:00 a.m.) for the following purposes:
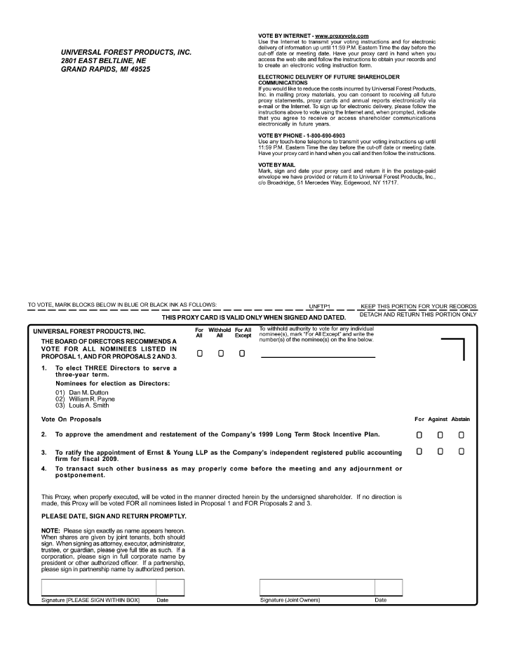
  (1)   Election of three directors for three year terms expiring in 2012.
 
  (2)   Consider and vote upon a proposal to amend and restate the Company’s 1999 Long Term Stock Incentive Plan.
 
  (3)   Ratification of the appointment of Ernst & Young LLP as our independent registered public accounting firm for fiscal 2009.
 
  (4)   The transaction of such other business as may properly come before the meeting or any adjournment thereof.
     Shareholders of record at the close of business on February 18, 2009, are entitled to notice of and to vote at the meeting. To vote by telephone, shareholders of record may call toll free on a touch-tone telephone, 1-800-690-6903, enter the control number located on their Notice, and follow the recorded instructions. To vote on the Internet, shareholders of record may go to the Internet address http://www.proxyvote.com, enter the control number located on their Notice, and follow the instructions provided.
 
BY ORDER OF THE BOARD OF DIRECTORS
 
Matthew J. Missad, Secretary
March 6, 2009
Your vote is important. Even if you plan to attend the meeting,
PLEASE VOTE YOUR PROXY PROMPTLY.

 


TABLE OF CONTENTS

SOLICITATION OF PROXIES
VOTING AT THE MEETING
VOTING AT THE MEETING
ELECTION OF DIRECTORS
PROPOSAL TO APPROVE THE FIRST AMENDMENT TO AND RESTATEMENT OF THE UNIVERSAL FOREST PRODUCTS, INC. 1999 LONG TERM STOCK INCENTIVE PLAN
RATIFICATION OF ERNST & YOUNG LLP AS INDEPENDENT PUBLIC ACCOUNTANTS FOR FISCAL 2009
INDEPENDENT PUBLIC ACCOUNTANTS — DISCLOSURE OF FEES
OWNERSHIP OF COMMON STOCK
SECURITIES OWNERSHIP OF MANAGEMENT
EXECUTIVE COMPENSATION
PERSONNEL AND COMPENSATION COMMITTEE REPORT
AUDIT COMMITTEE REPORT
SECTION 16(A) BENEFICIAL OWNERSHIP REPORTING COMPLIANCE
RELATED PARTY TRANSACTIONS
AVAILABILITY OF FORM 10-K
SHAREHOLDER PROPOSALS
HOUSEHOLDING OF PROXY MATERIALS
FUTURE PROXY SOLICITATION


Table of Contents

Universal Forest Products, Inc.
2801 East Beltline NE
Grand Rapids, MI 49525
Annual Meeting of Shareholders
April 15, 2009
Proxy Statement
SOLICITATION OF PROXIES
This Proxy Statement and the enclosed Proxy are being furnished to holders of common stock, no par value, of Universal Forest Products, Inc. (the “Company”). Our Board of Directors (the “Board”) is soliciting proxies for use at our Annual Meeting of Shareholders to be held on April 15, 2009, and at any adjournment of that meeting, at our Technology and Training Building, 2880 East Beltline Lane NE, Grand Rapids, MI 49525, at 8:30 a.m. local time. Registration for the meeting begins at 8:00 a.m.
VOTING AT THE MEETING
If the enclosed Proxy is properly signed and returned, the shares represented by the Proxy will be voted at our Annual Meeting of Shareholders and at any adjournment of the meeting. If a shareholder specifies a choice, the Proxy will be voted as specified. If no choice is specified, the shares represented by the Proxy will be voted for the election of all nominees named in the Proxy Statement, for the proposed amendment and restatement of our 1999 Long Term Stock Incentive Plan, for the ratification of the appointment of our independent public accountants, and in accordance with the judgment of the persons named as proxies with respect to any other matter which may come before the meeting.
Returning your completed Proxy will not prevent you from voting in person at our Annual Meeting of Shareholders, if you wish to do so. In addition, you may revoke your Proxy at any time before it is voted, by written notice to our secretary prior to our Annual Meeting of Shareholders, by submission of a later-dated Proxy, or by the withdrawal of your Proxy and voting in person at our Annual Meeting of Shareholders.
The cost of the solicitation of proxies will be paid by our Company. In addition to the use of the mail, proxies may be solicited personally, by telephone, by facsimile, or by electronic mail by our employees who will not receive additional compensation for soliciting proxies. We do not intend to pay any compensation for the solicitation of proxies, except that we will reimburse brokers, nominees, custodians, and other fiduciaries for their expenses in connection with sending materials to beneficial owners and obtaining their proxies.

1


Table of Contents

VOTING SECURITIES
Holders of record of common stock at the close of business on February 18, 2009, will be entitled to vote at the Annual Meeting of Shareholders. As of February 18, 2009, there were 19,237,568 shares of common stock outstanding. The presence in person or by Proxy of at least 51% of such shares constitutes a quorum. A shareholder is entitled to one vote for each share of common stock registered in the shareholder’s name at the close of business on February 18, 2009. Under Michigan law, abstentions are treated as present and entitled to vote and therefore have the effect of a vote against the matter. A broker non-vote on a matter is considered not entitled to vote on that matter and, therefore, is not counted in determining whether a matter requiring approval of a majority of the shares present and entitled to vote has been approved. Votes cast at the meeting or submitted by Proxy will be counted by inspectors of the meeting appointed by our Company. There is no right to cumulative voting on any matter.
ELECTION OF DIRECTORS
Our Board presently consists of ten members; however, due to the retirement of Peter F. Secchia, discussed below, our Board will consist of nine members as of April 15, 2009. These members are divided into three classes, as equal in number as possible, with the classes to hold office for staggered terms of three years each. Our Board nominated incumbent directors Dan M. Dutton, William R. Payne, and Louis A. Smith to three year terms expiring at our 2012 Annual Meeting of Shareholders.
The effectiveness of each of our directors is monitored by an annual assessment, and any director who does not meet the Board’s standards will not be permitted to continue service. In addition, our Board has maintained an age limit of 72 for service on the Board, which allows for an orderly transition and proper succession planning. Peter F. Secchia, who is Chairman Emeritus, has been a director since 1967 and his current term expires on April 15, 2009. However, he will turn 72 years old this year and will therefore retire from our Board on April 15, 2009. We extend our heartfelt appreciation to Mr. Secchia for his 47 years of service to our Company.
The persons named as proxy holders in the accompanying Proxy will vote for the above-named nominees, unless a shareholder directs them differently on a proxy card. If a nominee is not available for election as a director at the time of the Annual Meeting of Shareholders (a situation which is not now anticipated), the Board may designate a substitute nominee, and the accompanying Proxy will be voted for the substituted nominee.
A vote of the shareholders holding a plurality of the shares present in person or represented by proxy is required to elect directors. Accordingly, the three individuals who receive the greatest number of votes cast at the meeting will be elected as directors.
The Board of Directors recommends a vote FOR the election of each person nominated by the Board.

2


Table of Contents

The following table provides certain biographical information for each person who is nominated for election as a director at our Annual Meeting of Shareholders and for each person who is continuing as an incumbent director.
     
Names, (Ages), Positions, and Backgrounds    
of Directors and Nominees   Service as a Director
 
 
   
Nominee for Term Expiring in 2012
 
   
Dan M. Dutton (61) is Chairman of the Board of Stimson Lumber Company of Portland, Oregon with whom he has been affiliated since 1988.
  Director since 2003.
Chairman of Nominating and
      Corporate Governance Committee.
 
   
William R. Payne (55) is Chief of Staff of Alticor of Ada, Michigan, a position he has held since November 1999. Mr. Payne also sits on the Advisory Board at Macatawa Bank.
  Director since 2008.
Member of Nominating and
     Corporate Governance Committee.
Member of Personnel and
     Compensation Committee.
 
   
Louis A. Smith (69) is President of the law firm of Smith and Johnson, Attorneys, P.C., of Traverse City, Michigan. Mr. Smith also serves on the Advisory Board of the Huntington National Bank of Traverse City and serves as a member of the Advisory Council to the University of Notre Dame Law School. Mr. Smith currently serves on The State Board of Law Examiners upon nomination by the Michigan Supreme Court and gubernatorial appointment.
  Director since 1993.
Member of Audit Committee.
Member of Personnel and
     Compensation Committee.
 
   
Incumbent Directors — Terms Expiring in 2010
 
   
William G. Currie (61) is Chairman of the Board of the Company. He joined the Company in 1971, serving as a salesman, general manager, vice president, and executive vice president. He was the Chief Executive Officer of the Company from 1989 to 2006, and on January 1, 2000, also became Vice Chairman of the Board. On April 19, 2006, he was named Chairman of the Board of the Company and serves as an employee with the title of Executive Chairman. Mr. Currie also serves on the board of Forestar Real Estate Group Inc.
  Director since 1978.
 
   
John M. Engler (60) is President and Chief Executive Officer of the National Association of Manufacturers, with whom he has been affiliated since October 2004. He was President of State and Local Government Business and Vice President of Government Solutions for North America for EDS in Herndon, Virginia from February 2003 to September 2004. He served as Governor of the State of Michigan from 1991 to 2003. Mr. Engler also serves on the boards of Munder Capital Management and Delta Airlines.
  Director since 2003.
Member of Nominating and
      Corporate Governance Committee.
Member of Personnel and
     Compensation Committee.
 
   
Michael B. Glenn (57) is Chief Executive Officer of the Company. He joined the Company in 1974, serving as a salesman, vice president, senior vice president, and divisional president. He was named President of the Company in 2000. On July 1, 2006, he became Chief Executive Officer of the Company.
  Director since 2006.

3


Table of Contents

     
Names, (Ages), Positions, and Backgrounds    
of Directors and Nominees   Service as a Director
   
Incumbent Directors — Terms Expiring in 2011
 
   
John W. Garside (69) is President and Treasurer of Woodruff Coal Company of Kalamazoo, Michigan. Mr. Garside is a former commissioner for the Michigan Department of Transportation.
  Director since 1993.
Chairman of Personnel and
     Compensation Committee.
 
   
Gary F. Goode (64) retired from Arthur Andersen LLP in March 2001 after 29 years. Since his retirement, Mr. Goode has worked as an independent consultant, and has also served as Chairman of Titan Sales and Consulting LLC since January 2004. Mr. Goode is on the Board of Directors of Gentex Corporation and serves on its Audit, Compensation, and Nominating Committees. Mr. Goode is also on the Advisory Board of the Business School at Western Michigan University.
  Director since 2003.
Chairman of Audit Committee.
 
   
Mark A. Murray (54) is President of Meijer, Inc. in Grand Rapids, Michigan. Mr. Murray was Treasurer of the State of Michigan from January 1999 until July 2001, and he served as Vice President of Finance and Administration for Michigan State University from January 1998 until January 1999. Mr. Murray was President of Grand Valley State University in Allendale, Michigan from July 2001 until July 1, 2006. On August 1, 2006 he became President of Meijer, Inc.
  Director since 2004.
Member of Audit Committee.
Member of Nominating and
     Corporate Governance Committee.
CORPORATE GOVERNANCE AND BOARD MATTERS
Our Board is committed to sound and effective corporate governance practices. To assist in its governance, the Board has appointed three standing committees: the Audit Committee, the Nominating and Corporate Governance Committee, and the Personnel and Compensation Committee. Each of these committees has a written charter, the current versions of which are available for review on our website at www.ufpi.com under the tab “Investor Relations.”
Code of Business Conduct and Ethics and Code of Ethics for Senior Financial Officers
We have adopted a Code of Business Conduct and Ethics that applies to our employees, officers, and directors. We have also adopted a Code of Ethics for Senior Financial Officers. Each Code is posted on our website, and any changes or waiver to either Code will be disclosed on our website at www.ufpi.com under the tab “Investor Relations.”
Affirmative Determination Regarding Director Independence and Other Matters
Our Board has determined each of the following directors to be an “independent director” as such term is defined in Marketplace Rule 4200(a)(15) of the National Association of Securities Dealers (the “NASD”): Dan M. Dutton, John M. Engler, John W. Garside, Gary F. Goode, Mark A. Murray, William R. Payne, and Louis A. Smith. There are no family relationships between or among the directors and our executive officers.
To assist our Board, the Nominating and Corporate Governance Committee reviewed the applicable legal standards for director and Board committee independence, as well as the criteria applied to determine “audit committee financial expert” status and the answers to annual questionnaires

4


Table of Contents

completed by each of the directors. On the basis of this review, the Nominating and Corporate Governance Committee delivered a report to the full Board, and the Board made its independence and “audit committee financial expert” determinations based upon that report and each member’s review of the information made available to the Nominating and Corporate Governance Committee.
Committees
Audit Committee. Each member of the Audit Committee is “independent” as that term is defined by Rule 4200(a)(15) of the Nasdaq Listing Standards as well as the applicable rules of the Securities Exchange Commission for audit committee membership. Our Board has determined that Mr. Goode and Mr. Murray each qualify as an “audit committee financial expert,” as defined in Item 407(d) of Regulation S-K of the Securities Exchange Act of 1934 (the “Exchange Act”). The full responsibilities of the Audit Committee are set forth in the Audit Committee Charter. In general, the primary purpose of this Committee is to assist the Board in overseeing management’s conduct of our financial reporting processes and system of internal controls regarding finance, accounting, legal compliance, and ethics. During 2008, the Audit Committee held five meetings.
Personnel and Compensation Committee. Each member of this Committee is independent, as that term is defined by the Nasdaq Listing Standards. The Committee is responsible for reviewing and recommending to the Board the timing and amount of compensation for key employees, including salaries, bonuses, and other benefits, as well as director compensation. The Compensation Committee is also responsible for administering our stock option and other equity-based incentive plans, recommending retainer and attendance fees for non-employee directors, and reviewing compensation plans and awards as they relate to key employees. While the Committee has the authority to retain consultants and third-party advisors for assistance, it has not done so. The Committee has the ultimate authority to determine matters of executive compensation; however, it may rely upon recommendations by our Chief Executive Officer for matters of compensation other than those applicable to the Chief Executive Officer. Additional information on the Committee’s role and practices involving executive compensation is described in the Compensation Discussion and Analysis in this Proxy Statement. The full responsibilities of the Personnel and Compensation Committee are set forth in the Personnel and Compensation Committee Charter. During 2008, the Personnel and Compensation Committee held three meetings.
Nominating and Corporate Governance Committee. Each member of the Nominating and Corporate Governance Committee is “independent” as that term is defined by the Nasdaq Listing Standards. The Nominating and Corporate Governance Committee considers and proposes director nominees for election at the Annual Meeting of Shareholders, selects candidates to fill Board vacancies as they may occur, makes recommendations to the Board regarding Board committee memberships, generally monitors our corporate governance system, and performs any other functions or duties deemed appropriate by the Board. The full responsibilities of the Nominating and Corporate Governance Committee are set forth in the Nominating and Corporate Governance Committee Charter. During 2008, the Nominating and Corporate Governance Committee held three meetings.
Our Articles of Incorporation contain certain procedural requirements applicable to shareholder nominations of directors. A shareholder who wishes to nominate a person to serve as a director must provides us with written notice. The notice must include: (1) the name and address of both the

5


Table of Contents

shareholder who intends to make the nomination and the person or persons nominated; (2) a representation that the shareholder is a current holder of record, will continue to hold those shares through the date of the meeting, and intends to appear in person or by proxy at the meeting; (3) a description of all arrangements between the shareholder and each nominee; (4) the information regarding each nominee as would be required to be included in a proxy statement filed under Regulation 14A of the Exchange Act had the nominee been nominated by the Board; and (5) the consent of each nominee to serve as director. The nominee’s written consent to the nomination and sufficient background information on the candidate must be included to enable the Nominating and Corporate Governance Committee to make proper assessments as to his or her qualifications. Nominations must be addressed to the Chairman of the Nominating and Corporate Governance Committee at our headquarters, and must be received no fewer than 60 days but not more than 90 days, prior to our Annual Meeting of Shareholders. The Nominating and Corporate Governance Committee may also make its own search for potential candidates that may include candidates identified by a variety of means as deemed appropriate by the Committee.
The Nominating and Corporate Governance Committee has not established specific minimum age, education, years of business experience, or specific types of skills for potential candidates, but, in general, expects qualified candidates will have ample experience and a proven record of business success and leadership. The Committee requires that each member of our Board have the highest professional ethics, integrity, and values, and will consistently exercise sound and objective business judgment. In addition, it is anticipated that our Board, as a whole, will have individuals with significant, appropriate senior management and leadership experience, a comfort with technology, a long-term, strategic and global perspective, and the ability to advance constructive debate. It is important for our Board, as a whole, to operate in an atmosphere where the chemistry among the individuals is a key element.
Upon receipt of a shareholder proposed candidate, the Chairman of the Nominating and Corporate Governance Committee assesses the Board’s needs, primarily whether there is a current or pending vacancy or a possible need to fulfill by adding or replacing a director, and then develops a director profile by comparing the current state of Board characteristics with the desired state and the candidate’s qualifications. The profile and the candidate’s submitted information are provided to the Chairman of the Board and Chief Executive Officer for discussion. Following this discussion, the profile and the candidate’s materials are forwarded to all Nominating and Corporate Governance Committee members, and consideration of the candidate is added as an agenda item for the next Committee meeting.
Similarly, if at any time the Nominating and Corporate Governance Committee or the Board determines there may be a need to add or replace a director, the Nominating and Corporate Governance Committee or the Board develops a director profile by comparing the current state of Board characteristics with the desired state. If no candidates are apparent from any source, the Committee will determine the appropriate method to conduct a search.
The Committee has, to date, not paid any third party fees to assist in identifying and evaluating nominees. The Committee has not received any recommended nominations from any of our shareholders in connection with our Annual Meeting of Shareholders. The nominees that are

6


Table of Contents

standing for election as directors at our 2009 Annual Meeting of Shareholders are incumbent directors.
Communications with the Board
Generally, shareholders who have questions or concerns regarding our Company should contact our Investor Relations Department at 800-598-9663. However, any shareholder who wishes to address questions regarding the business or affairs of our Company directly with the Board, or any individual director, should direct his or her questions in writing to the Secretary of the Board at 2801 East Beltline NE, Grand Rapids, MI 49525. The Secretary has been directed to promptly forward all communications to the full Board or the specific director indicated in the letter.
Meeting Attendance
Each director is expected to make a reasonable effort to attend all meetings of our Board, applicable committee meetings, and the Annual Meeting of Shareholders. All of our directors attended our Annual Meeting of Shareholders in 2008. During our last fiscal year, there were four regular meetings of the Board, and the Board took action by unanimous written consent on three occasions. Each director attended at least 90% of the meetings of the Board and meetings of committees they were eligible to attend. During fiscal 2008, the independent members of the Board met in executive session, without the presence of management, on three occasions.
PROPOSAL TO APPROVE THE FIRST AMENDMENT TO AND
RESTATEMENT OF THE UNIVERSAL FOREST PRODUCTS, INC.
1999 LONG TERM STOCK INCENTIVE PLAN
     On January 20, 1999, our Board of Directors adopted the Universal Forest Products, Inc. 1999 Long Term Stock Incentive Plan (the “Plan”). The Plan was subsequently approved by our shareholders on April 28, 1999. The term of the Plan currently expires on April 28, 2009. As of February 18, 2009, 1,925,635 shares remain available for issuance under the Plan.
     On January 22, 2009, our Board of Directors adopted the First Amendment to and Restatement of the Universal Forest Products, Inc. 1999 Long Term Stock Incentive Plan (the “Amendment and Restatement”), subject to approval by our shareholders. The purpose of the Amendment and Restatement is to extend the term of the Plan. If the Amendment and Restatement is approved by our shareholders, it will have the effect of extending the term of the Plan for an additional ten (10) years from the date of shareholder approval.
     In addition to extending the term of the Plan, the Amendment and Restatement changes the name of the Plan to the “Universal Forest Products, Inc. Long Term Stock Incentive Plan” to remove the reference to “1999.” The proposed Amendment and Restatement does not make any other substantive changes to the Plan.

7


Table of Contents

     The following summary of the Plan and the proposed Amendment and Restatement is subject to the specific provisions contained in the complete text of the Plan and the complete text of the Amendment and Restatement, both of which are set forth in Appendix A to this Proxy Statement.
     Purpose. The purpose of the Plan is to promote the long-term success of our Company for the benefit of our shareholders through stock-based compensation, by aligning the personal interests of our key employees with those of our shareholders. The Plan is designed to allow key employees to participate in our Company’s future, as well as to enable our Company to attract, retain, and reward such employees.
     Administration. The Plan will continue to be administered by the Personnel and Compensation Committee of our Board of Directors (the “Committee”), composed of two or more “Non-employee Directors” within the meaning of Rule 16b-3 of the General Rules and Regulations under the Securities Exchange Act of 1934, as amended. Subject to our Articles of Incorporation, Bylaws, and the provisions of the Plan, the Committee has the authority to select key employees to whom Awards may be awarded; the type of Awards (or combination thereof) to be granted; the number of shares of Common Stock to be covered by each Award; and the terms and conditions of any Award, such as conditions of forfeiture, transfer restrictions, and vesting requirements.
     The Plan provides for the granting of a variety of stock-based Awards, described in more detail below, such as Options, including Incentive Stock Options, as defined in Section 422 of the Internal Revenue Code of 1986, as amended (the “Code”), Stock Appreciation Rights, Restricted Stock, Performance Shares, and Other Stock-Based Awards.
     The term of the Plan currently expires on April 28, 2009, such that no Awards may be granted under the Plan after that date. The primary purpose of the proposed Amendment and Restatement is to extend the term of the Plan for an additional ten (10) years.
     Types of Awards. The following types of Awards may be granted under the Plan:
     An “Option” is a contractual right to purchase a number of shares at a price determined at the date the Option is granted. Options include Incentive Stock Options, as defined in Section 422 of the Code, as well as Nonqualified Stock Options. The exercise price included in both Incentive Stock Options and Nonqualified Stock Options must equal at least 100% of the fair market value of the stock at the date of grant. Awards of certain Options may also include Reload Options. A Reload Option is an Option to purchase shares equal to the number of shares of Common Stock delivered in payment of the exercise price (including, in the discretion of the Committee, the number of shares tendered to our Company to satisfy any withholding tax liability arising upon exercise) and is deemed to be granted upon such delivery without further action by the Committee. A Reload Option is subject to the same terms of the original Option, including the term thereof; however, the exercise price of the Reload Option must equal the fair market value of our Common Stock on the date of grant of the Reload Option.
     A “Stock Appreciation Right” is an Award of the right to receive stock or cash of an equivalent value in an amount equal to the difference between the price specified in the Stock Appreciation Right and the prevailing market price of our Common Stock at the time of exercise. Stock Appreciation Rights may be granted only in tandem with Options.

8


Table of Contents

     “Restricted Stock” are shares of Common Stock granted to an employee for no or nominal consideration. Title to the shares passes to the employee at the time of the grant; however, the ability to sell or otherwise dispose of the shares is subject to restrictions and conditions determined by the Committee.
     “Performance Shares” are an Award of the right to receive stock or cash of an equivalent value at the end of the specified performance period upon the attainment of specified performance goals.
     An “Other Stock-Based Award” is any other Award that may be granted under the Plan that is valued in whole or in part by reference to or is payable in or otherwise based on Common Stock.
     Shares Subject to Plan. One million four hundred six thousand twenty nine (1,406,029) shares of Common Stock, no par value, were reserved under the Plan on April 28, 1999. As noted above, 1,925,635 shares remain available for issuance under the Plan. The closing sale price of our Common Stock as quoted in the Nasdaq Global Select Market on February 18, 2009, was $24.83 per share.
     The shares to be offered under the Plan are authorized and unissued shares, including shares reacquired by our Company which have that status. The number of shares that may be issued under the Plan and the number of shares subject to Options are subject to adjustments in the event of a merger, reorganization, consolidation, recapitalization, dividend (other than ordinary cash dividends), stock splits, or other change in corporate structure affecting the Common Stock. In addition, the number of shares that may be issued under the Plan is subject to an annual increase of no more than two hundred thousand (200,000) shares. Subject to certain restrictions, expired, forfeited, and cancelled Awards, and shares surrendered or withheld in payment for exercising Options may be reissued under the Plan.
     Termination or Amendment of the Plan. Our Board may at any time amend, discontinue, or terminate the Plan or any part thereof; however, unless otherwise required by law, after shareholder approval, the rights of a participant may not be impaired without the consent of such participant. In addition, without the approval of our shareholders, no amendment may be made which would increase the aggregate number of shares of Common Stock that may be issued under the Plan or decrease the Option price of any Option to less than 100% of the fair market value on the date of grant.
     Eligibility. Key employees of our Company and its subsidiaries are eligible to be granted Awards under the Plan. Eligibility is determined by the Committee. At present, approximately 947 current and former employees and directors have been granted Awards or are otherwise participating in the Plan. It is not possible to predict the number or identity of future participants or, except as set forth in the Plan, to describe the restrictions that may be included in Award agreements. The Plan provides that no more than 25% of the total shares subject to issuance under the Plan may be awarded to any one employee.
     Participation and Assignability. Neither the Plan, nor any Award agreement granted under the Plan, entitles any participant or other employee to any right to continued employment by our Company or any subsidiary. Generally, no Award or other benefit payable under the Plan may,

9


Table of Contents

except as otherwise specifically provided by law, be subject in any manner to assignment, transfer, or encumbrance. However, Nonqualified Stock Options may be transferred without consideration to (i) an immediate family member of the optionee, (ii) a trust for the benefit of an immediate family member of the optionee, or (iii) a partnership or a limited liability company whose only partners or members are immediate family members, if the Option holder satisfies certain conditions as may be required by the Committee.
     Federal Tax Consequences. The U.S. federal income tax consequences to our Company and to Plan participants are complex and subject to change. The following summarizes the general consequences of the grant and acquisition of Awards under the Plan for federal income tax purposes, based on management’s understanding of existing federal income tax laws. This summary is necessarily general in nature and does not purport to be complete. Also, state and local income tax consequences are not discussed and may vary from locality to locality. Participants under the Plan should consult their own tax advisors since a participant’s particular situation may be such that some variation of the rules described below will apply.
     Options. Plan participants will not recognize taxable income at the time an Option is granted under the Plan unless the Option has a readily ascertainable market value at the time of grant. Management understands that Options to be granted under the Plan will not have a readily ascertainable market value; therefore, income will not be recognized by participants before the time of exercise of an Option. For Nonqualified Stock Options, the difference between the fair market value of the shares at the time an Option is exercised and the Option price generally will be treated as ordinary income to the optionee, in which case our Company will be entitled to a deduction equal to the amount of the optionee’s ordinary income. With respect to Incentive Stock Options, participants will not realize income for federal income tax purposes as a result of the exercise of such Options. In addition, if Common Stock acquired as a result of the exercise of an Incentive Stock Option is disposed of more than two years after the date the Option is granted and more than one year after the date the Option was exercised, the entire gain, if any, realized upon disposition of such Common Stock will be treated for federal income tax purposes as capital gain. Under these circumstances, no deduction will be allowable to our Company in connection with either the grant or exercise of an Incentive Stock Option. Exceptions to the general rules apply in the case of a “disqualifying disposition.”
     If a participant disposes of shares of Common Stock acquired pursuant to the exercise of an Incentive Stock Option before the expiration of one year after the date of exercise or two years after the date of grant, the sale of such stock will be treated as a “disqualifying disposition.” As a result, such a participant would recognize ordinary income and our Company would be entitled to a deduction in the year in which such disposition occurred. The amount of the deduction and the ordinary income recognized upon a disqualifying disposition would generally be equal to the lesser of: (a) the sale price of the shares sold minus the Option price, and (b) the fair market value of the shares at the time of exercise minus the Option price. If the disposition is to a related party (such as a spouse, brother, sister, lineal descendant, or certain trusts or business entities in which the seller holds a direct or indirect interest), the ordinary income recognized generally is equal to the excess of the fair market value of the shares at the time of exercise over the exercise price. Any additional gain recognized upon disposition, in excess of the ordinary income, will be taxable as capital gain.

10


Table of Contents

In addition, the exercise of Incentive Stock Options may result in an alternative minimum tax liability.
     Reload Stock Options. Participants will recognize no income on the grant of any Reload Option. The tax consequences to the participant and our Company are the same as that for a Stock Option.
     Stock Appreciation Rights. Upon the grant of a Stock Appreciation Right, the participant will realize no taxable income and our Company will receive no deduction. A participant will realize income at the time of exercise if the Award becomes vested and is no longer subject to forfeiture and the participant is entitled to receive the value of the Award. Our Company will receive a deduction of an equal amount in the same year the participant recognizes income.
     Restricted Stock. Recipients of shares of Restricted Stock that are not “transferable” and are subject to “substantial risks of forfeiture” at the time of grant will not be subject to federal income taxes until the lapse or release of the restrictions or sale of the shares, unless the recipient files a specified election under the Code to be taxed at the time of grant. The recipient’s income and our Company’s deduction will be equal to the excess of the then fair market value (or sale price) of the shares less any purchase price.
     Performance Shares. Participants are not taxed upon the grant of Performance Shares. Upon receipt of the underlying shares or cash, a participant will be taxed at ordinary income tax rates (subject to withholding) on the amount of cash received and/or the current fair market value of stock received, and our Company will be entitled to a corresponding deduction. The participant’s basis in any Performance Shares received will be equal to the amount of ordinary income on which he or she was taxed and, upon subsequent disposition, any gain or loss will be capital gain or loss.
     Required Vote for Approval. The affirmative vote of a majority of our Common Stock voted at the Annual Meeting, by person or by proxy, is required to approve the proposed Amendment and Restatement. While broker nonvotes will not be treated as votes cast for this purpose, shares voted as abstentions will be counted as votes cast. Since a majority of the votes cast is required for approval, the sum of any negative votes and abstentions will necessitate offsetting affirmative votes to assure approval. Unless otherwise directed by marking the accompanying proxy, the proxy holders named therein will vote for the approval of the Amendment and Restatement.
     The Board of Directors recommends a vote FOR the approval of the proposed Amendment and Restatement.

11


Table of Contents

RATIFICATION OF ERNST & YOUNG LLP AS INDEPENDENT PUBLIC ACCOUNTANTS FOR FISCAL 2009
The Audit Committee has selected Ernst & Young LLP (“E&Y”) as our independent public accountants for the fiscal year ending December 27, 2009. The services provided to the Company and our shareholders by E&Y for 2008 are described below under the caption “Independent Public Accountants - - Disclosure of Fees.”
We are asking our shareholders to ratify the selection of E&Y as our independent public accountants. Although ratification is not legally required, the Board is submitting the selection of E&Y to our shareholders for ratification as a matter of good corporate governance. Representatives of E&Y are expected to be present at the Annual Meeting of Shareholders to respond to appropriate questions and to make such statements as they may desire.
The affirmative vote of the holders of the majority of the shares represented in person or by proxy and entitled to vote on this item will be required for approval. All broker non-votes will not be treated as votes cast in this matter; shares voted as abstentions will be counted as votes cast and therefore will have the effect of a negative vote.
If our shareholders do not ratify the appointment, the appointment will be reconsidered by the Audit Committee and the Board. Even if the selection is ratified, the Audit Committee, in its discretion, may select a different registered public accounting firm at any time during the year if it determines that such a change would be in the best interest of the Company and our shareholders.
The Board of Directors recommends a vote for this proposal to ratify the appointment of E&Y as the Company’s independent public accountants for fiscal 2009.
INDEPENDENT PUBLIC ACCOUNTANTS — DISCLOSURE OF FEES
E&Y served as our independent public accountants for the fiscal years ended December 29, 2007 and December 27, 2008. The following sets forth the fees we paid to E&Y for the last two fiscal years, all of which were pre-approved by the Audit Committee.
                 
    2008     2007  
Audit Fees
  $ 419,000     $ 479,300  
Audit Related Fees(1)
    15,000       16,000  
Tax Fees(2)
    307,732       368,603  
All Other Fees
    0       0  
 
           
Total
  $ 741,732     $ 863,903  
 
           
 
(1)   Consists primarily of financial statement audits of employee benefit plans.
 
(2)   Consists primarily of U.S. federal, state and local tax consulting and compliance advice along with tax advice and assistance regarding statutory, regulatory, or administrative developments in the United States, Canada, or Mexico, including a federal research and development tax credit study.

12


Table of Contents

Audit Committee Pre-Approval Policy. The Audit Committee has established a pre-approval policy, and procedures for audit, audit-related, and tax services that can be performed by our independent public accountants. The policy sets out the specific services that must be pre-approved by the Audit Committee, and places limitations on the scope of these services while ensuring that the independence of the auditors to audit our financial statements is not impaired. The policy prohibits us from retaining E&Y for services which are proscribed by rules of the Securities and Exchange Commission. In addition, the policy requires disclosure of non-audit services performed by our auditors. The pre-approval policy does not include a delegation of the Audit Committee’s responsibilities and authority under the policy.
OWNERSHIP OF COMMON STOCK
The following table sets forth information as to each shareholder known to have been the beneficial owner of more than five percent (5%) of our outstanding shares of common stock as of December 31, 2008:
                 
Name and Address of   Amount and Nature of   Percent
Beneficial Owner   Beneficial Ownership (1)   of Class (2)
 
T. Rowe Price Associates, Inc.
    2,378,190 (3)     12.4 %
100 E. Pratt Street
Baltimore, MD 21202
               
Franklin Resources, Inc.
    1,986,700 (4)     10.4 %
One Franklin Parkway
San Mateo, CA 94403
               
Dimensional Fund Advisors LP
    1,310,731 (5)     6.8 %
Palisades West, Building One
6300 Bee Cave Road
Austin, TX 78746
               
Barclays Global Investors, NA
    1,185,426 (6)     6.2 %
400 Howard Street
San Francisco, CA 94105
               
 
(1)   Except as otherwise indicated by footnote, each named person has sole voting and investment power with respect to the shares indicated.
 
(2)   Shares outstanding for this calculation include 321,047 shares which are subject to options exercisable in 60 days, and 44,155 shares which are subject to issuance under our Director Retainer Stock Plan.
 
(3)   These securities are owned by various individuals and institutional investors for which T. Rowe Price Associates, Inc. (“Price Associates”) serves as investment advisor with power to direct investments and/or sole power to vote the securities. For purposes of the reporting requirements of the Securities Exchange Act of 1934, Price Associates is deemed to be a beneficial owner of such securities; however, Price Associates expressly disclaims that it is, in fact, the beneficial owner of such securities (as noted on the Schedule 13G it filed with the SEC on February 12, 2009).

13


Table of Contents

(4)   Franklin Resources, Inc., either directly or through affiliated companies, beneficially owned this number of shares, as noted on the Schedule 13G it filed with the SEC on February 9, 2009.
 
(5)   Dimensional Fund Advisors LP (“Dimensional”), an investment advisor, furnishes investment advice to four investment companies registered under the Investment Company Act of 1940, and serves as investment manager to certain other commingled group trusts and separate accounts (the “Funds”). All shares are owned by the Funds. Dimensional possesses investment and/or voting power over our Company’s securities and may be deemed to be the beneficial owner of the shares, as noted on the Schedule 13G it filed with the SEC on February 9, 2009. Dimensional expressly disclaims beneficial ownership of such securities.
 
(6)   Barclays, either directly or through affiliated companies, beneficially owned this number of shares, as noted on the Schedule 13G it filed with the SEC on February 5, 2009.
SECURITIES OWNERSHIP OF MANAGEMENT
The following table contains information with respect to ownership of our common stock by all directors, nominees for election as director, the Named Executive in the tables under the caption “Executive Compensation,” and all executive officers and directors as a group. The information in this table was furnished by our officers, directors, and nominees for election of directors, and represents our understanding of circumstances in existence as of December 27, 2008.
                 
Name of   Amount and Nature of   Percent
Beneficial Owner   Beneficial Ownership (1)   of Class (2)
 
Peter F. Secchia
    713,185 (3)     3.6 %
William G. Currie
    399,795 (4)(5)     2.0 %
Michael B. Glenn
    240,542 (4)(5)     1.2 %
C. Scott Greene
    80,734 (4)(5)     *  
John W. Garside
    47,424 (6)     *  
Patrick M. Webster
    45,309 (4)(5)     *  
Michael R. Cole
    35,905 (4)(5)     *  
Louis A. Smith
    31,844 (6)     *  
Gary F. Goode
    10,883 (6)     *  
Dan M. Dutton
    7,969 (6)     *  
Mark A. Murray
    6,985 (6)     *  
John M. Engler
    1,800       *  
 
               
All directors and executive officers as a group (18 persons)
    1,883,612 (6)     9.6 %
 
*   Less than one percent (1%).
 
(1)   Except as otherwise indicated by footnote, each named person has sole voting and investment power with respect to the shares indicated.
 
(2)   Shares outstanding for this calculation include 321,047 shares which are subject to options exercisable in 60 days, and 44,155 shares which are subject to issuance under our Director Retainer Stock Plan.
 
(3)   Includes 50,000 shares owned by Mr. Secchia’s wife; 151,973 shares held by limited liability companies of which Mr. Secchia is a member; 164,067 shares held by a family limited partnership of which Mr. Secchia is a partner; and 31,550 shares held by a family foundation.

14


Table of Contents

(4)   Includes shares subject to issuance under our deferred compensation plans for Mr. Currie, Mr. Glenn, Mr. Cole, Mr. Greene, and Mr. Webster in the amount of 10,345 shares, 9,440 shares, 1,893 shares, 24,584 shares, and 19,165 shares, respectively.
 
(5)   Includes shares which may be acquired by Mr. Currie, Mr. Glenn, Mr. Cole, Mr. Greene, and Mr. Webster pursuant to options exercisable in 60 days in the amount of 30,000 shares, 12,500 shares, 8,000 shares, 18,844 shares, and 5,523 shares, respectively.
 
(6)   Includes shares obtained through our Director Retainer Stock Plan for Mr. Dutton, Mr. Garside, Mr. Goode, Mr. Murray, and Mr. Smith who hold 5,969 shares, 6,974 shares, 8,983 shares, 4,785 shares, and 17,444 shares, respectively, through such plan.
EXECUTIVE COMPENSATION
Compensation Discussion and Analysis
Compensation Philosophy and Objectives
Our executive compensation program has been designed to motivate, reward, attract, and retain the management deemed essential to ensure the success of our Company. We believe our employees are our most important asset. The program seeks to align executive compensation with Company objectives, business strategy, and financial performance. In applying these principles, we seek to:
  Support an environment that rewards performance for achievement of Company goals;
 
  Attract and retain key executives critical to the long-term success of our Company; and
 
  Align the interests of executives with the long-term interests of shareholders through stock ownership initiatives and share ownership requirements.
We believe the compensation of our executives should reflect the performance of the business units in which they are involved. We further believe the performance of the executives in managing our Company, considered in light of general economic and specific Company, industry, and competitive conditions, should be the basis for determining their overall compensation.
What Our Compensation Program is Designed to Reward
Our compensation program is designed to reward overall financial performance and each person’s individual contribution to our Company. In measuring an individual’s contribution to our Company, the Personnel and Compensation Committee (the “Committee”) considers numerous factors, including the individual’s contribution to Company performance, individual performance relative to pre-established goals, and general economic conditions in the markets we serve. Stock price performance has not been a factor in determining annual compensation because we believe the price of our common stock is subject to a variety of factors outside our control.

15


Table of Contents

Compensation Program Components
The Committee has responsibility for establishing, implementing, and monitoring adherence with our compensation philosophy and established programs. The Committee seeks to ensure that the total compensation paid to our executives is fair, reasonable, and competitive.
Elements of compensation for our executives include base salary, performance incentives (whether in cash or in stock), health, disability and life insurance, and perquisites. Base salaries are set for our executive officers at the January meeting of the Committee. At this meeting, the Chief Executive Officer makes compensation recommendations to the Committee with respect to the executive officers who report to him. The Committee may accept or adjust such recommendations, and also makes the sole determination of the compensation for the Executive Chairman and Chief Executive Officer.
These elements fit into our overall compensation objectives by helping to secure the potential of our operations, facilitate our entry into new markets, provide proper compliance and regulatory guidance, and help to create a cohesive team.
Base Salaries. Historically, we have provided modest base salaries and created opportunities for significant performance-based incentive compensation. The Committee has complete discretion in determining base salary amounts (including the grant and amount of any annual discretionary incentive payments or stock or option awards), regardless of whether corporate or individual performance goals are achieved. The Committee uses the following factors to determine the amount of salary and other benefits to pay each executive:
  Base salaries of similarly situated executives in our peer group and similarly sized companies;
 
  Performance against individual objectives for the previous year;
 
  Difficulty of achieving desired results in the coming year;
 
  Value of their unique skills and abilities to support the long-term performance of our Company; and
 
  Contribution as a member of our executive management team.
The Committee approved salary increases to the Named Executives, identified below in the Summary Compensation Table, as follows:
                         
Named Executive   Effective Date   New Salary   % Increase
William G. Currie
  February 1, 2009   $ 578,476       3.0 %
Michael B. Glenn
  February 1, 2009   $ 576,132       3.0 %
Patrick M. Webster
  January 1, 2009   $ 317,500       24.5 %
C. Scott Greene
  February 1, 2009   $ 292,891       3.2 %
Michael R. Cole
  February 1, 2009   $ 252,000       5.0 %
Patrick M. Webster became the President of our Company on January 1, 2009. Prior to that, and since January 1, 2008, Mr. Webster was President of our Western Division.

16


Table of Contents

The Committee utilizes available compensation information from other publicly held companies to make informed decisions regarding pay and benefit practices, including base salaries. Surveys prepared by management are also used to periodically ensure that our Company is maintaining its labor market competitiveness. The Committee does not currently engage any consultant for executive and/or director compensation matters.
Incentive Compensation. Our Performance Bonus Plan relies on annual Return on Investment (“ROI”) based incentive compensation to attract and retain our key employees. Our Performance Bonus Plan is based on the ROI for the applicable business unit. For the Named Executives, other than C. Scott Greene and Patrick M. Webster, their bonus is based on the ROI of the Company as a whole. The bonus for Messrs. Greene and Webster is based on the performance of their respective business units. The allocation of the bonus pool of the business unit for the Named Executives is discretionary. ROI is determined based on the business unit’s pre-bonus operating profit less income taxes, divided by the average monthly investment of the business unit. Average investment is defined as the fiscal monthly average of inventory plus accounts receivable, plus net property, plant and equipment, plus intangibles, less accounts payable. The Committee has approved a bonus rate structure which provides for a percentage of pre-bonus operating profit to be available in a bonus pool for the benefit of key employees. The bonus pool for the business unit is calculated by multiplying the bonus rate corresponding to the business unit’s ROI times the pre-bonus operating profit for the business unit.
In order to adjust for current negative market conditions and trends, and to ensure that we retain key employees needed to drive our performance during these challenging economic times, on August 4, 2008, the Committee adopted and approved revisions to our Performance Bonus Plan for salaried employees effective for fiscal years 2008, 2009, and 2010, and approved a long-term stock incentive for key personnel. The revisions have the effect of permitting a bonus to be paid as long as an operation is profitable. The Committee also reduced the maximum bonus from 2.0 times succeeding base salary to 1.75 times succeeding base salary. Individuals who receive a bonus of greater than 100% of base pay, and who do not meet the minimum stock ownership requirement, must use the cash bonus in excess of 100% of their base pay, net of taxes, to purchase shares of our common stock.
We expect a certain level of stock ownership by our key employees and directors to ensure the interests of our shareholders are protected, the specifics of which are set forth in our Minimum Stock Ownership Policy described below. In 2008, the Committee approved a conditional stock grant for key employees and outside directors which vest in five (5) years, subject to certain exceptions for death, disability, and retirement.
Chief Executive Officer. Michael B. Glenn was named Chief Executive Officer of our Company on July 1, 2006. The Committee annually reviews and establishes our Chief Executive Officer’s base salary. His salary is based on comparable compensation data, the Committee’s assessment of his past performance, and its expectation as to his future contributions in leading our Company. Mr. Glenn’s base salary fell in the lower quartile of the salaries of comparable executives in our peer group. The Committee has complete discretion in setting base salary for Mr. Glenn (who does not have an employment agreement with our Company). For 2008, Mr. Glenn was eligible to receive 18% of the corporate business unit bonus pool. Mr. Glenn and Mr. Currie recommended that their bonus

17


Table of Contents

percentages be reduced to provide other salaried employees with a larger bonus. For 2009, Mr. Glenn is eligible to receive 18% of the corporate business unit bonus pool.
Executive Chairman. Mr. Currie was Chief Executive Officer until June 30, 2006 and is now our Executive Chairman. For 2008, Mr. Currie was eligible to receive 18% of the corporate business unit bonus pool. For 2009, Mr. Currie will be eligible to participate in the bonus pool for a pro rata share of the corporate business unit bonus pool.
On January 16, 2008, the Board ratified a Consulting and Non-Compete Agreement between our Company and William G. Currie (see the “Other Potential Post-Employment Compensation” section in this Proxy Statement), the substance of which was disclosed in 2007 and was filed with our Form 10-K for 2007. This Agreement will commence on July 21, 2009. The severance package calls for three annual payments equal to the average of Mr. Currie’s base salary and bonus for the five years preceding the effective date. This amount is calculated at $1,182,312 per year. He will also receive a stipend for the purchase of health insurance during the contract term.
Incentive Bonus Program. For our Named Executives, incentive compensation is paid annually as provided in our Performance Bonus Plan, as approved by the Committee. For fiscal 2009, we will continue to use the ROI-based Performance Bonus Plan.
Long-Term Stock Incentive Plan. In the past, we have provided long-term incentive compensation to our executive officers and key employees through stock options, grants of restricted shares, and other equity-based awards. The 1999 Long-Term Stock Incentive Plan (“LTSIP”) was approved by shareholders at our 1999 Annual Meeting of Shareholders. The Committee has complete discretion in determining eligibility for participation and the number of stock options and restricted stock, if any, to be granted to a participant. Due to the changes in accounting for stock options, the Committee decided not to grant broad-based stock options to salaried employees for 2006, 2007, or 2008.
On January 15, 2008, the Committee authorized grants of conditional stock to eligible salaried employees, including the Named Executives, on the basis of one share for each $500 in base salary, up to a maximum of 400 shares per eligible employee. The grants were made and valued as of February 8, 2008, are conditioned on the continued employment of the participants for three (3) years from the effective date, and will be issued no later than February 15, 2011.
We desire to promote ownership by our employees to encourage each employee to conduct business in the best long term interest of our shareholders. Therefore, in 2002 we created a Minimum Stock Ownership Policy. This policy sets requirements for ownership of our common stock by our officers and other key employees, as follows:
         
Title   Company Stock Ownership Requirement
Officers
  $ 200,000  
General Manager of Operations
  $ 100,000  
Operations Managers, Plant Managers, Sales Managers, Executive Managers, and Senior Managers
  $ 50,000  

18


Table of Contents

To help our key employees (other than executive officers, who are not eligible to receive a loan once they become an executive officer) reach their minimum stock ownership requirement, we established an Executive Stock Purchase Assistance Plan (the “ESPAP”) under which key employees may borrow money from our Company to purchase stock with interest at the applicable rate.
We have a Deferred Compensation Plan (the “DCP”) which allows key employees to defer a portion of their compensation. Under the DCP, if a key employee’s ownership of our common stock is not at the required level, any money the key employee defers must be used to purchase shares of our common stock. Such shares are purchased at a 15% discount from the then prevailing market price of our common stock. The key employee will receive a payout of the money in their DCP account one year from the date they leave our Company unless they retire or pass away, in which case the employee or his or her beneficiary will receive the funds within 90 days.
We also have an Employee Stock Purchase Plan (the “ESPP”) which allows an employee to have a payroll deduction or make a lump sum contribution, or both, for the purchase of our common stock. Shares of our common stock are purchased with the money in the employee’s account on the last stock trading day of the quarter, at a 15% discount from the then prevailing market price of our common stock. All eligible employees with at least one year of service may participate in the ESPP.
We have a Stock Gift Program where each eligible employee receives a modest amount of our common stock on their specified service anniversaries with our Company.
Our stock ownership programs are designed to encourage employees to own shares of our common stock and therefore align the interests of our employees with those of our shareholders.
Our policy is to pay all earned compensation regardless of whether it exceeds the One Million Dollar ($1,000,000.00) limitation on compensation deductions set forth in Section 162(m) of the Internal Revenue Code. To ensure the maximum tax deductibility for our Company, we received shareholder approval of our Performance Bonus Plan at our 1999 Annual Meeting of Shareholders.

19


Table of Contents

Summary Compensation Table
The following table shows certain information regarding the compensation for our Chief Executive Officer, Chief Financial Officer, and our three other most highly compensated executive officers for fiscal 2008 (the “Named Executives”).
                                                                         
                                            Non-   Change in          
                                            Equity   Pension          
                                            Incentive   Venue and          
                                            Plan   Nonqualified     All Other    
                            Stock   Option   Compen-   Deferred     Compen-    
Name and Principal           Salary           Awards   Awards   sation   Compensation     sation    
       Position   Year   (1)   Bonus   (2)   (3)   (1)(4)   Earnings     (5)   Total
Michael B. Glenn,
    2008     $ 559,332     $ 1,340       0     $ 69,105     $ 103,000       0     $ 36,460     $ 769,237  
Chief Executive
    2007       463,545       1,907       0       81,548       0       0       40,238       587,238  
Officer
    2006       413,234       29,098     $ 427,108       85,549       878,016       0       53,412       1,886,417  
William G. Currie,
    2008       561,576       398       0       133,264       103,000       0       1,189,432       1,987,670  
Executive Chairman
    2007       536,794       1,357       0       163,182       0       0       412,956       1,114,289  
 
    2006       534,902       26,378       402,967       140,789       1,073,348       0       86,339       2,264,723  
Michael R. Cole,
    2008       240,000       291       0       31,904       50,000       0       20,846       343,041  
Chief Financial
    2007       210,294       1,575       0       35,375       0       0       20,586       267,830  
Officer
    2006       209,268       26,510       50,427       43,085       420,348       0       29,537       779,175  
C. Scott Greene,
    2008       283,891       181       0       34,331       59,700       0       20,891       398,994  
President,
    2007       270,804       2,055       0       40,920       0       0       20,008       333,787  
Universal Forest
    2006       269,278       19,909       159,146       48,206       541,368       0       28,072       1,065,979  
Products Eastern Division
                                                                       
Patrick M. Webster,
    2008       255,000       192       0       4,496       96,200       0       18,731       374,619  
President and Chief
    2007       212,604       2,493       0       5,193       0       0       15,239       235,529  
Operating Officer
    2006       199,268       1,638       0       7,359       350,000       0       18,906       577,171  
 
(1)   Includes amounts deferred by Named Executives under our 401(k) Plan.
 
(2)   Amounts set forth in this column represent the amounts recognized as compensation expense in fiscal 2008, 2007, and 2006, respectively, for financial reporting purposes in accordance with FAS 123R, except that the amounts do not reflect reductions for estimated forfeitures. The assumptions used in calculating these amounts are set forth in the notes to our consolidated financial statements for 2008 in the stock-based compensation section, included in our Annual Report on Form 10-K. There were no stock awards to the Named Executives for performance in fiscal 2008 or 2007. The amounts for 2006 represent the bonus earned by the Named Executives in 2006 that exceeded two times their base pay, that were awarded to them in February 2007.
 
(3)   The amount included in this column is the amount that would have been required to be recognized in 2008, 2007, and 2006 in accordance with FAS 123R under the modified prospective transition method with respect to stock options granted prior to 2006 that were not vested at the time we transitioned to FAS 123R, as noted in our financial statements for the years ended December 27, 2008, December 29, 2007, and December 30, 2006. The assumptions used in calculating these amounts are set forth in the notes to our consolidated financial statements for 2008 in the stock-based compensation section, included in our Annual Report on Form 10-K. No options were granted in 2008, 2007, or 2006.
 
(4)   Represents annual bonus payments under performance-based bonus plans tied to our operating profit and ROI, which cover substantially all salaried employees. The amounts in this column reflect the bonus earned for that year but paid in the subsequent year. The amount for Mr. Webster for 2008 includes a deferral under our Deferred Compensation Plan in the amount of $24,124. Under this plan, shares of our common stock are contributed to the Named Executive’s Deferred Compensation Plan account, in lieu of cash compensation. These shares must be held by the Named Executive until he or she retires from our Company. None of the Named Executives received a bonus

20


Table of Contents

    for 2007, so there were no deferrals into our Deferred Compensation Plan for 2007. The 2006 amounts include deferrals under our Deferred Compensation Plan in the amount of $50,000, $100,000, $15,000, $100,000, and $50,000 by Mr. Glenn, Mr. Currie, Mr. Cole, Mr. Greene, and Mr. Webster, respectively.
 
(5)   The amount in this column represent contributions to our Profit Sharing and 401(k) Plan for 2008 in the amount of $6,900 for Messrs. Glenn, Currie, and Greene, $1,500 for Mr. Cole, and $6,048 for Mr. Webster Subject to certain requirements, including age and service requirements, all of our employees are eligible to participate in our Profit Sharing and 401(k) Plan.
 
    Also included in this column is personal use of corporate airplanes for 2008 in the amount of $7,914 for Mr. Currie and $10,545 for Mr. Glenn. We permit limited personal use of corporate aircraft by the Named Executives. Personal use of our aircraft requires approval by our Chief Executive Officer. We calculate the incremental cost to our Company for personal use of our aircraft based on the cost of fuel and oil per hour of flight; trip-related inspections, repairs and maintenance; landing, parking and hangar fees; supplies; and other variable costs. Since our aircraft is used primarily for business travel, we do not include the fixed costs that do not change based on personal usage, such as pilots’ salaries, the purchase or leasing costs of our aircraft, and the cost of maintenance not related to specific trips.
 
    The amount in this column also includes the following fringe benefits, none of which exceeded the greater of $25,000 or 10% of the Named Executive’s aggregate fringe benefits: automobile allowance, automobile insurance, reimbursement for gasoline expense, phone, internet access, use of Company-owned property, clothing allowance, life insurance premiums, and taxes paid on behalf of the Named Executive.
 
    Also included in this column is $1,154,452 which was required to be accrued for in 2008 for a consulting, non-compete, and severance agreement between our Company and Mr. Currie. No amounts are payable until after July 21, 2009.
Narrative Disclosure of Perquisites and Benefits
We provide benefit programs to executive officers and other employees. The following table generally identifies such benefit plans and those employees who may be eligible to participate:
                                 
    Executive   Certain   Full-Time Exempt   Full-time Non-
Benefit Plan   Officers   Managers   Employees   Exempt Employees
401(k) Plan
    ü       ü       ü       ü  
Medical/Dental/Vision Plans
    ü       ü       ü       ü  
Life and Disability Insurance
    ü       ü       ü       ü  
Employee Stock Purchase Plan
    ü       ü       ü       ü  
ROI Bonus Plan
    ü       ü       ü     Not Offered
Hourly Performance Bonus
  Not Offered   Not Offered   Not Offered     ü  
Equity Incentive Plans
    ü       ü       ü       ü  
Change in Control and Severance Plan
    ü     Not Offered   Not Offered   Not Offered
Deferred Compensation Plan
    ü       ü     Not Offered   Not Offered
Supplemental Early Retirement Plan
  Not Offered   Not Offered   Not Offered   Not Offered
Defined Benefit Pension Plan
  Not Offered   Not Offered   Not Offered   Not Offered
We believe perquisites for executive officers should be limited in scope and value. As a result, we have historically given nominal perquisites. The following table generally illustrates the perquisites we do and do not provide, and identifies those employees who may be eligible to receive them.

21


Table of Contents

                             
Type of Perquisites   Executive Officers   Certain Managers   Full-Time Employees
Employee Discount
    ü       ü       ü  
Financial Planning Allowance (1)
    ü       ü     Not Offered
Automobile Allowance
    ü       ü           Not Offered (2)
Country Club Memberships
  Not Offered   Not Offered   Not Offered
Personal Use of Company Aircraft
  Only with CEO Approval   Only with CEO Approval   Not Offered
Security Services
  Not Offered   Not Offered   Not Offered
Dwellings for Personal Use (3)
  Not Offered   Not Offered   Not Offered
 
(1)   We provide our officers with a limited financial planning allowance via taxable reimbursements for financial planning services.
 
(2)   Certain sales and management personnel receive an automobile allowance. Other employees receive reimbursement, in accordance with the Internal Revenue Code, of various costs incurred in connection with the utilization of their personal vehicles in connection with business travel.
 
(3)   We do not provide dwellings for personal use except for temporary job relocation housing.
Grants of Plan-Based Awards
The following table reflects the grant of plan-based awards in fiscal 2008 to the Named Executives, and sets forth information on possible payouts to the Named Executives under our Performance Bonus Plan for fiscal 2008.
                                                                         
                                            All Other     All Other              
                                            Stock     Option           Grant  
                                            Awards:     Awards:     Exercise     Date Fair  
            Estimated Future Payouts     Estimated Future     Number     Number of     or Base     Value of  
          Under Non-Equity     Payouts Under Equity     of Shares     Securities     Price of     Stock and  
          Incentive Plan Awards     Incentive Plan Awards     of Stock     Underlying     Option     Option  
    Grant     Threshold     Maximum     Threshold     Maximum     or Units     Options     Awards     Awards  
Name   Date     ($)     ($)     (#)     (#)     (#)     (#)     ($/Sh)     ($)  
Michael B. Glenn
    02/08/08     $ 142,657     $ 1,008,231       0       0       400       0       0     $ 11,152  
William G. Currie
    02/08/08       62,769       1,012,333       0       0       400       0       0       11,152  
Michael R. Cole
    02/08/08       27,738       441,000       0       0       400       0       0       11,152  
C. Scott Greene
    02/08/08       1       512,559       0       0       400       0       0       11,152  
Patrick M. Webster
    02/08/08       95,104       555,625       0       0       400       0       0       11,152  
We do not have any required future payouts under our non-equity incentive plans. All obligations are paid in cash within 75 days of our fiscal year-end. Any future awards are based on the ROI of the applicable business unit.

22


Table of Contents

Outstanding Equity Awards at Fiscal Year-End
The following table sets forth information concerning equity awards held by the Named Executives at December 27, 2008:
                                                                                 
                    Option Awards   Stock Awards
                                                                    Equity    
                                                                    Incentive   Equity
                                                                    Plan   Incentive Plan
                                                                    Awards:   Awards:
                                                    Number           Number of   Market or
                                                    of Shares           Unearned   Payout Value
                    Number of   Number of                   or Units           Shares,   of Unearned
                    Securities   Securities                   of Stock   Market Value   Units or   Shares, Units
                    Underlying   Underlying                   That   of Shares or   Other   or Other
                    Unexercised   Unexercised   Option   Option   Have   Units of Stock   Rights That   Rights That
            Vesting   Options   Options   Exercise   Expiration   Not   That Have Not   Have Not   Have Not
Name   Grant Date   Date   Exercisable   Unexercisable   Price   Date   Vested   Vested   Vested   Vested
Michael B. Glenn
    02/08/08       02/15/11                                       400     $ 10,132       0       0  
 
    01/31/00       04/01/09       0       6,000     $ 12.50       04/01/10                                  
 
    04/17/02       04/17/11       0       12,500       24.46       04/17/12                                  
 
    04/17/02       04/17/14       0       12,500       24.46       04/17/15                                  
 
    03/01/03       03/01/09       0       12,500       17.10       03/01/13                                  
 
    03/01/03       03/01/12       0       12,500       17.10       03/01/13                                  
 
    03/01/03       03/01/15       0       12,500       17.10       03/01/16                                  
William G. Currie
    02/08/08       02/15/11                                       400       10,132       0       0  
 
    04/17/02       07/20/12                                       10,000       253,300       0       0  
 
    04/17/02       04/17/11       0       30,000       24.46       04/17/12                                  
 
    03/01/03       03/01/09       0       30,000       17.10       03/01/13                                  
 
    03/01/03       03/01/12       0       30,000       17.10       03/01/13                                  
Michael R. Cole
    02/08/08       02/15/11                                       400       10,132       0       0  
 
    08/01/04       08/01/06       4,000       0       30.64       08/01/14                                  
 
    01/01/00       04/01/09       0       5,000       19.77       04/01/10                                  
 
    01/01/00       04/01/12       0       5,000       22.88       04/01/13                                  
 
    01/01/00       04/01/15       0       5,000       26.49       04/01/16                                  
 
    08/01/04       08/01/08       4,000       0       30.64       08/01/14                                  
 
    08/01/04       08/01/10       0       4,000       30.64       08/01/14                                  
 
    08/01/04       08/01/12       0       4,000       30.64       08/01/14                                  
 
    08/01/04       08/01/14       0       4,000       30.64       08/01/15                                  
C. Scott Greene
    02/08/08       02/15/11                                       400       10,132       0       0  
 
    01/01/99       04/01/08       5,000       0       26.88       04/01/09                                  
 
    01/01/99       04/01/11       0       5,000       31.11       04/01/12                                  
 
    01/01/99       04/01/14       0       5,000       36.01       04/01/15                                  
 
    01/31/00       04/01/09       0       4,000       12.50       04/01/10                                  
 
    01/31/01       01/31/04       2,133       0       14.13       01/31/11                                  
 
    01/31/02       01/31/05       3,711       0       21.84       01/31/12                                  
 
    08/01/04       08/01/06       4,000       0       30.64       08/01/14                                  
 
    08/01/04       08/01/08       4,000       0       30.64       08/01/14                                  
 
    08/01/04       08/01/10       0       4,000       30.64       08/01/14                                  
 
    08/01/04       08/01/12       0       4,000       30.64       08/01/14                                  
 
    08/01/04       08/01/14       0       4,000       30.64       08/01/15                                  
Patrick M. Webster
    02/08/08       02/15/11                                       400       10,132       0       0  
 
    01/01/98       04/01/10       0       5,000       21.13       04/30/10                                  
 
    01/01/98       04/01/13       0       5,000       24.46       04/30/13                                  
 
    01/31/01       01/31/04       3,120       0       14.13       01/31/11                                  
 
    01/31/02       01/31/05       2,403       0       21.84       01/31/12                                  

23


Table of Contents

Option Exercises and Stock Vested
The following table provides information on the number and value of options exercised in 2008 by the Named Executives.
                                 
    Option Awards     Stock Awards  
            Value Realized on              
    Number of Shares     Exercise     Number of Shares     Value Realized  
Name   Acquired on Exercise     (1)     Acquired on Vesting     on Vesting  
Michael B. Glenn
    12,500     $ 127,548       0       0  
William G. Currie
    30,000       300,983       0       0  
Michael R. Cole
    0       0       0       0  
C. Scott Greene
    1,000       17,100       0       0  
Patrick M. Webster
    0       0       0       0  
 
(1)   Represents the difference between the exercise price and the fair market value of the common stock on the date of exercise.
Non-Qualified Deferred Compensation
The following table provides certain information relating to each deferred compensation plan that provides for the deferral of compensation on a basis that is not tax qualified. The aggregate balance amounts are based entirely on employee deferrals and earnings on these deferrals.
                                         
            Company     Aggregate             Aggregate Balance  
    Executive     Contributions     Earnings in     Aggregate     at December 27,  
    Contributions     in 2008     2008     Withdrawals /     2008  
Names   in 2008     (1)     (2)     Distributions in 2008     (3)  
Michael B. Glenn
    0       0       ($242,615 )     0     $ 994,491  
William G. Currie
    0       0       (583,347 )     0       2,028,070  
Michael R. Cole
    0       0       (7,927 )     0       47,966  
C. Scott Greene
    0       0       (98,243 )     0       622,737  
Patrick M. Webster
  $ 9,166       0       (76,571 )     0       485,469  
 
(1)   The Company does not contribute to this Plan.
 
(2)   Amounts shown are credited to the participant’s deferred account(s). The losses reflect the losses on various investments in the participant’s deferred compensation account(s), including investments in our common stock.
 
(3)   Includes amounts deferred under our 1985 deferral plan by Mr. Glenn and Mr. Currie.
Our Deferred Compensation Plan allows key employees to defer a portion of their incentive bonus and base salary. The maximum amount a Named Executive can defer is $100,000 from incentive compensation and $10,000 from base salary, per year. As described in the Compensation Discussion and Analysis, amounts deferred must be invested in our common stock until certain ownership requirements are met. Payouts occur as provided at the time of employee deferral, or if not specified by the employee, upon separation from employment.

24


Table of Contents

Other Potential Post-Employment Compensation
Severance Agreements
A Consulting and Non-Compete Agreement with Mr. Currie will commence on July 21, 2009. The severance package calls for three annual payments equal to the average of Mr. Currie’s base salary and bonus for the five years preceding the effective date. This amount is calculated at $1,182,311 per year. He will also receive a stipend for the purchase of health insurance during the contract term.
We do not have any severance agreements for any of the other Named Executives.
Potential Payments upon Termination, Death, Disability, Retirement, or Change in Control
The following table quantifies the incremental amounts that would have been vested and become payable on December 27, 2008 to each Named Executive in the event of death, permanent disability, retirement, or change in control.
                                         
                                    Change in
                            Retirement   Control
    Benefit   Death   Disability   (1)   (2)
Michael B. Glenn (3)  
Cash Severance (4)
  $ 765,749     $ 765,749     $ 765,749     $ 1,531,497  
       
Equity: (5)
- - Restricted Stock
    10,132       10,132       10,132       10,132  
       
- Unexercisable Options
    407,355       407,355       407,355       407,355  
       
Health and Welfare
    20,700       20,700       20,700       20,700  
       
TOTAL:
    1,203,936       1,203,936       1,203,936       1,969,684  
William G Currie (6)  
Cash Severance (4)
    1,182,311       1,182,311       1,182,311       1,182,311  
       
Equity: (5)
- - Restricted Stock
    253,300       253,300       253,300       253,300  
       
- Unexercisable Options
    519,900       519,900       519,900       519,900  
       
Health and Welfare
    41,400       41,400       41,400       41,400  
       
TOTAL:
    1,996,911       1,996,911       1,996,911       1,996,911  
Michael R. Cole  
Cash Severance (4)
    0       0       0       240,000  
       
Equity: (5)
- - Restricted Stock
    10,132       10,132       10,132       10,132  
       
- Unexercisable Options
    40,050       40,050       40,050       40,050  
       
Health and Welfare
    20,700       20,700       20,700       20,700  
       
TOTAL:
    430,882       430,882       430,882       310,882  
C. Scott Greene  
Cash Severance (4)
    0       0       0       567,782  
       
Equity: (5)
- - Restricted Stock
    10,132       10,132       10,132       10,132  
       
- Unexercisable Options
    51,320       51,320       51,320       51,320  
       
Health and Welfare
    20,700       20,700       20,700       20,700  
       
TOTAL:
    507,989       507,989       507,989       649,934  
Patrick M. Webster  
Cash Severance (4)
    382,500       382,500       382,500       510,000  
       
Equity: (5)
- - Restricted Stock
    10,132       10,132       10,132       10,132  
       
- Unexercisable Options
    25,350       25,350       25,350       25,350  
       
Health and Welfare
    20,700       20,700       20,700       20,700  
       
TOTAL:
    438,682       438,682       438,682       566,182  

25


Table of Contents

 
(1)   Accounts of the Named Executives in deferred compensation plans and 401(k) plans are not included.
 
(2)   Our Company has a change in control policy which provides payments to certain executives who would likely be subject to job loss or significant change in job duties upon a change in control. Mr. Glenn would have received three years of salary, Mr. Greene and Mr. Webster would have received two years of salary, and Mr. Cole would have received one year of salary.
 
(3)   In accordance with our Company’s practice, Mr. Glenn and the Personnel and Compensation Committee will determine an appropriate severance package commensurate with his service to the Company at an appropriate time. Amounts listed for Mr. Glenn are based on the standard officer policy.
 
(4)   While none of our Named Executives has an employment agreement with our Company, our Board has approved a severance policy for officers who have been employed by our Company for twenty years and officers for ten years. Upon death, permanent disability, or approved retirement, Named Executives will receive three annual cash payments, with each payment equal to one-half the base salary for the period prior to the separation, plus payments for COBRA coverage for 18 months. The payments for COBRA are listed in the Health and Welfare line on the table. Mr. Greene and Mr. Cole have not yet met the service requirements of the policy, so payments upon death, disability, or approved retirement would be at the sole discretion of the Personnel and Compensation Committee.
 
(5)   Stock awards and stock options which are already vested are not included. Earned but unpaid cash bonuses are not included in this table. Unexercisable stock options are shown at the market value on December 27, 2008, less the exercise price.
 
(6)   Mr. Currie has entered into a Consulting and Non-Compete Agreement which begins in July 2009. The payments listed are specified in that agreement and disclosed above.
Director Compensation
The following table sets forth certain information regarding the compensation earned by or awarded to each non-employee director who served on our Board in 2008. Messrs. Currie and Glenn are not separately compensated for their service as directors.
                                         
    Fees Earned or     Stock     Non-Equity              
    Paid in Cash     Awards     Incentive Plan     All Other        
Names   (1)     (2)     Compensation     Compensation     Total  
Dan M. Dutton
  $ 46,294     $ 11,0920       0       0     $ 75,694  
John M. Engler
    43,000       5,546       0       0       72,400  
John W. Garside
    48,517       8,319       0       0       77,917  
Gary F. Goode (3)
    70,605       11,092       0       0       100,005  
Mark A. Murray
    48,577       11,092       0       0       77,977  
William R. Payne
    20,500       0       0       0       45,700  
Peter F. Secchia
    39,000       0       0     $ 238,816 (4)     307,216  
Louis A. Smith
    50,807       11,092       0       0       80,207  
 
(1)   Each director who is not an employee of our Company receives a $35,000 annual retainer fee and $1,000 for attendance at each regular and special meeting of the Board, and $1,000 for each committee meeting they attend. Each director who is not an employee of our Company may participate in the Director Retainer Stock Plan (the “DRSP”). The DRSP provides that each director may elect to receive Company stock, on a deferred basis, in lieu of cash compensation for the director’s retainer and meeting fees.
 
(2)   Amounts set forth in this column represent the amounts recognized as compensation expense in fiscal 2008 for financial reporting purposes in accordance with FAS 123R. The assumptions used in calculating these amounts are set forth in the notes to our consolidated financial statements for 2008 in the stock-based compensation section, included in our Annual Report on Form 10-K. Each director who is not an employee of our Company receives 100 shares of common stock for each Board meeting they attend, up to a maximum of 400 shares per year.

26


Table of Contents

(3)   Mr. Goode is Chairman of the Audit Committee and receives an additional $20,000 per year for serving in that capacity.
 
(4)   In 2008, Mr. Secchia received $150,000 pursuant to his non-compete agreement and $88,816 as a payout on a deferred compensation plan from amounts deferred in prior years.
Each director is also entitled to reimbursement for his or her reasonable out-of-pocket expenses incurred in connection with travel to and from, and attendance at, meetings of our Board or its committees and related activities, including director education courses and materials. Each director is required to own a minimum of 1,000 shares of our Company stock.
Equity Compensation Plan Information
As discussed above, we maintain certain equity compensation plans under which shares of our common stock are authorized for issuance to employees and directors in exchange for services. The following sets forth certain information regarding our equity compensation plans as of December 27, 2008.
                         
                    Number of shares
                    remaining available
    Number of   Weighted   for future issuance
    shares to be   average   under equity
    issued upon   exercise price   compensation
    exercise of   of   plans [excluding
    outstanding   outstanding   shares reflected in
    options   options   column (a)]
     
    (a)   (b)   (c)
     
Equity compensation plans approved by security holders
    600,047     $ 22.16       1,632,247  
Equity compensation plans not approved by security holders
  none                
PERSONNEL AND COMPENSATION COMMITTEE REPORT
The primary purpose of the Personnel and Compensation Committee of the Board of Directors is to assist the Board in discharging its responsibilities related to the compensation of our Company’s executives. The Committee’s responsibilities are more fully described in its charter, which is available on our website.
At the meeting of the Personnel and Compensation Committee on January 21, 2009, the Committee reviewed and discussed our Compensation Discussion and Analysis with management. Based on that review and those discussions, the Committee recommended to our Board of Directors that the Compensation Discussion and Analysis be included in our Proxy Statement relative to our 2009 Annual Meeting of Shareholders.
John W. Garside, Chairman
John M. Engler
Louis A. Smith

27


Table of Contents

AUDIT COMMITTEE REPORT
On February 23, 2009, the Audit Committee (the “Committee”) submitted to the Board of Directors the following report:
The Committee has reviewed and discussed with management the Company’s audited financial statements as of and for the year ended December 27, 2008.
The Committee has discussed with the independent auditors the matters required to be discussed by Statement on Auditing Standards No. 61, Communication with Audit Committees, as amended, by the Auditing Standards Board of the American Institute of Certified Public Accountants.
The Committee has received and reviewed the written disclosures and letter from the independent auditors required by Rule 3526 of the Public Company Accounting Oversight Board, Communication with Audit Committees Concerning Independence, and has discussed with the auditors the auditors’ independence.
Based on the reviews and discussions referred to above, the Committee recommends to the Board of Directors that the financial statements referred to above be included in the Company’s Annual Report on Form 10-K for the year ended December 27, 2008.
Gary M. Goode, Chairman
Mark A. Murray
Louis A. Smith
The reports of the Audit Committee and the Personnel and Compensation Committee shall not be deemed to be soliciting material filed or by reference in any general statement incorporating by reference this Proxy Statement into any filing under the Securities Act of 1933 or under the Securities Exchange Act of 1934.
SECTION 16(A) BENEFICIAL OWNERSHIP REPORTING COMPLIANCE
Section 16(a) of the Exchange Act requires directors, executive officers, and greater than 10% beneficial owners to file reports of ownership and changes in ownership of shares of common stock with the Securities and Exchange Commission, and applicable regulations require them to furnish us with copies of all Section 16(a) reports they file. Based solely upon review of the copies of such reports furnished to us, or written representations that no such reports were required, all Section 16(a) filing requirements applicable to the reporting persons were complied with except for Messrs. Glenn, Greene, and Secchia who each filed one late report, each covering one transaction.

28


Table of Contents

RELATED PARTY TRANSACTIONS
On December 31, 2002, Peter F. Secchia, Chairman Emeritus entered into a non-compete agreement with the Company which provides for monthly payments of $12,500 until December 31, 2009 when the non-compete agreement expires.
Dan M. Dutton is Chairman of Stimson Lumber Company, which had sales of $1.9 million to our Company for 2008. This amount is less than 5% of Stimson’s total sales in 2008, and is less than 5% of our total purchases for 2008.
The Audit Committee has responsibility to review, approve, or ratify related party transactions involving directors, executive officers, and their respective affiliates and immediate family members. As a general practice, our Board has required the related party, if a Board member, to recuse himself or herself from the meeting, and the Board considers the proposed transaction on the basis of what is fair to the Company and in the best interest of our shareholders.
AVAILABILITY OF FORM 10-K
Shares of our common stock are traded under the symbol UFPI on The Nasdaq Stock Market. Our Form 10-K filed with the Securities and Exchange Commission will be provided free of charge to any shareholder upon written request. Significant financial information is available on our website at http://www.ufpi.com. For more information, contact our Investor Relations Department, 2801 East Beltline NE, Grand Rapids, MI 49525.
SHAREHOLDER PROPOSALS
Shareholders who intend to submit a proposal for inclusion in our proxy materials for our 2010 Annual Meeting of Shareholders may do so by following the procedures described in SEC Rule 14a-8. To be eligible for inclusion, shareholder proposals must be received by our Secretary no later than November 6, 2009. Proposals of shareholders should be addressed to the attention of Secretary, 2801 East Beltline NE, Grand Rapids, MI 49525. In addition, under our Bylaws, no business may be brought before an annual meeting unless it is specified in a notice of the meeting or is otherwise brought before the meeting by or at the direction of the Board or by a shareholder who has delivered written notice to our Secretary (containing certain information specified in the Bylaws about the shareholder and the proposed action), not less than 30 days prior to the date of the originally scheduled meeting. This requirement is separate from and in addition to the Securities and Exchange Commission’s requirements that a shareholder must meet in order to have a shareholder proposal included in our proxy materials. For any proposal that is not submitted for inclusion in next year’s Proxy Statement, but is instead sought to be presented directly at the 2010 Annual Shareholder meeting, the SEC rules permit management to vote proxies at its discretion if we (i) receive notice of the proposal before the close of business on January 20, 2010, and advise shareholders in the 2010 Proxy Statement about the nature of the matter and how management intends to vote on such matter, or (ii) do not receive a notice of the proposal prior to the close of business on January 20, 2010.

29


Table of Contents

HOUSEHOLDING OF PROXY MATERIALS
Effective with the 2002 Annual Meeting of Shareholders, only one annual report and proxy statement are sent to multiple shareholders sharing a single address, unless we have received instructions to the contrary from one or more of such shareholders. If you prefer to receive individual copies of the proxy materials, send your request in writing to the attention of Investor Relations, 2801 East Beltline NE, Grand Rapids, MI 49525, or call 800-598-9663.
FUTURE PROXY SOLICITATION
We have expanded our use of the Internet to solicit proxies from our shareholders. We have elected to follow the Notice and Access provisions prescribed by the SEC. As stated on the Notice of Annual Meeting, we will also accept voting by telephone, via electronic mail, or through the mail.
March 6, 2009
By Order of the Board of Directors,
-s- Matthew J. Missad
Matthew J. Missad, Secretary

30


Table of Contents

APPENDIX A
FIRST AMENDMENT TO AND RESTATEMENT OF THE
UNIVERSAL FOREST PRODUCTS, INC.
1999 LONG TERM STOCK INCENTIVE PLAN
     FIRST AMENDMENT TO AND RESTATEMENT OF THE UNIVERSAL FOREST PRODUCTS, INC. 1999 LONG TERM STOCK INCENTIVE PLAN as adopted by the Board of Directors of Universal Forest Products, Inc. (the “Company”) the 22nd day of January, 2009, with reference to the following:
     A. The Universal Forest Products, Inc. 1999 Long Term Stock Incentive Plan (the “Plan”) was adopted by the Company’s Board of Directors on January 20, 1999, and was approved by the Company’s shareholders on April 28, 1999.
     B. Under Article 11 of the Plan, the Board of Directors has the authority, subject to certain conditions, to amend the Plan from time to time.
     C. The Board has elected to amend and restate the Plan, subject to the approval of the Company’s shareholders, to extend the Term of the Plan to the tenth anniversary of the date on which the Company’s shareholders approve this Amendment and Restatement.
     NOW, THEREFORE, the Plan is amended as follows:
     1. The name and title of the Plan shall now be known as the “Universal Forest Products, Inc. Long Term Stock Incentive Plan.”
     2. Section 1.1 of the Plan is hereby amended by deleting the last sentence of that section, in its entirety.
     3. Section 1.3 of the Plan is hereby amended, in its entirety, to read as follows:
     1.3 Term of Plan. No Awards shall be granted pursuant to the Plan on or after April 15, 2019 (“Termination Date”), provided that Awards granted prior to the Termination Date may extend beyond that date, and Cash Payment Rights and Reload Options may be effected pursuant to the terms of Awards granted prior to the Termination Date.
     4. In all other respects the Plan shall continue in full force and effect.
CERTIFICATION
     The foregoing First Amendment to and Restatement of the Plan was adopted by the Board of Directors on January 22, 2009.
             
    UNIVERSAL FOREST PRODUCTS, INC.
 
           
 
  By:        
 
     
 
   
 
  Its:        
 
     
 
   

A-1


Table of Contents

UNIVERSAL FOREST PRODUCTS, INC.
LONG TERM STOCK INCENTIVE PLAN
(as Amended and Restated April 15, 2009)
ARTICLE 1
ESTABLISHMENT AND PURPOSE OF THE PLAN
     1.1 Establishment of the Plan. Universal Forest Product, Inc., a Michigan corporation (the “Company”), hereby establishes an incentive compensation plan to be known as the “Universal Forest Products, Inc. Long Term Stock Incentive Plan” (the “Plan”), as set forth in this document. The Plan permits the granting of stock options, stock appreciation rights, restricted stock, and other stock-based awards to key employees of the Company and its Subsidiaries.
     1.2 Purpose of the Plan. The purpose of the Plan is to promote the long-term success of the Company for the benefit of the Company’s shareholders, through stock-based compensation, by aligning the personal interests of the Company’s key employees with those of its shareholders. The Plan is also designed to allow key employees to participate in the Company’s future, as well as to enable the Company to attract, retain and award such employees. The Plan supersedes and replaces the Company’s Long Term Inventive Plan, adopted by the Company’s shareholders in 1997.
     1.3 Term of Plan. No Awards shall be granted pursuant to the Plan on or after April 15, 2019 (“Termination Date”), provided that Awards granted prior to the Termination Date may extend beyond that date, and Cash Payment Rights and Reload Options may be effected pursuant to the terms of Awards granted prior to the Termination Date.
ARTICLE 2
DEFINITIONS
     For purposes of this Plan, the following terms shall have the meanings set forth below:
     2.1 “Award” shall mean any award under this Plan of any Options, Stock Appreciation Rights, Restricted Stock, Performance Shares or Other Stock-Based Award.
     2.2 “Award Agreement” shall mean an agreement evidencing the grant of an Award under this Plan. Awards under the Plan shall be evidenced by Award Agreements that set forth the details, conditions and limitations for each Award, as established by the Committee and shall be subject to the terms and conditions of the Plan.
     2.3 “Award Date” shall mean the date that an Award is made, as specified in an Award Agreement.
     2.4 “Board” shall mean the Board of Directors of the Company.
     2.5 “Code” shall mean the Internal Revenue Code of 1986, as amended.
     2.6 “Committee” shall mean the Committee, as specified in Article 3, appointed by the Board to administer the Plan.
     2.7 “Common Stock” shall mean the Common Stock of the Company.
     2.8 “Disability” shall mean permanent and total disability as determined under the rules and guidelines established by the Committee for purposes of the Plan.
     2.9 “Fair Market Value” shall be the mean between the highest and lowest sales prices per share of the Common Stock for such date on the National Association of Securities Dealers Automated Quotation System or any successor system then in use (“NASDAQ”). If no sale of shares of Common Stock is reflected on the NASDAQ on a date, “Fair Market Value” shall be determined on the next preceding day on which there was a sale of shares of Common Stock reflected on NASDAQ.

A-2


Table of Contents

     2.10 “Incentive Stock Option” or “ISO” shall mean an option to purchase shares of Common Stock granted under Article 6, which is designated as an Incentive Stock Option and is intended to meet the requirements of Section 422 of the Code.
     2.11 “Insider” shall mean an employee who is an officer (as defined in Rule 16a-1(f) of the Exchange Act) or director of the Company, or holder of more than ten percent (10%) of its outstanding shares of Common Stock.
     2.12 “Nonemployee Director” shall have the meaning set forth in Rule 16b-3(b)(3), as promulgated by the Securities and Exchange Commission (the “SEC”) under the Securities Exchange Act of 1934 (the “Exchange Act”), or any successor definition adopted by the SEC.
     2.13 “Nonqualified Stock Option” or “NQSO” shall mean an option to purchase shares of Common Stock, granted under Article 6, which is not an Incentive Stock Option.
     2.14 “Option” means an Incentive Stock Option, a Nonqualified Stock Option, or a Reload Option.
     2.15 “Option Price” shall mean the price at which a share of Common Stock may be purchased by a Participant pursuant to an Option, as determined by the Committee.
     2.16 “Other Stock-Based Award” shall mean an Award under Article 10 of this Plan that is valued in whole or in part by reference to, or is payable in or otherwise based on, Common Stock.
     2.17 “Participant” shall mean an employee of the Company or a Subsidiary who holds an outstanding Award granted under the Plan.
     2.18 “Performance Shares” shall mean an Award granted under Article 9 of this Plan evidencing the right to receive Common Stock or cash of an equivalent value at the end of a specified performance period.
     2.19 “Permitted Transferee” means (i) the spouse, children or grandchildren of a Participant (each an “Immediate Family Member”), (ii) a trust or trusts for the exclusive benefit of the Participant and/or one or more Immediate Family Members, or (iii) a partnership or limited liability company whose only partners or members are the Participant and/or one or more Immediate Family Members.
     2.20 “Reload Option” shall mean an Option that is awarded under the conditions of Section 6.5 of the Plan.
     2.21 “Retirement” shall mean the termination of a Participant’s employment with the Company or a Subsidiary after the Participant attains normal retirement age as established by the Committee at the time an Award is made.
     2.22 “Restricted Stock” shall mean an Award granted to a Participant under Article 8 of this Plan.
     2.23 “Stock Appreciation Right” or “SAR” shall mean an Award granted to a Participant under Article 7 of this Plan.
     2.24 “Subsidiary” shall mean any corporation in which the Company owns directly, or indirectly through subsidiaries, at least fifty percent (50%) of the total combined voting power of all classes of stock, or any other entity (including, but not limited to, partnerships and joint ventures) in which the Company owns at least fifty percent (50%) of the combined equity thereof.
     2.25 “Termination of Employment” shall mean the termination of a Participant’s employment with the Company or a Subsidiary. A Participant employed by a Subsidiary shall also be deemed to incur a Termination of Employment if the Subsidiary ceases to be a Subsidiary and the Participant does not immediately thereafter become an employee of the Company or another Subsidiary.

A-3


Table of Contents

ARTICLE 3
ADMINISTRATION
     3.1 The Committee. The Plan shall be administered by a Committee designated by the Board consisting of not less than two (2) directors who shall be appointed from time to time by the Board, each of whom shall qualify as a Nonemployee Director.
     3.2 Committee Authority. Subject to the Company’s Articles of Incorporation, Bylaws and the provisions of this Plan, the Committee shall have full authority to grant Awards to key employees of the Company or a Subsidiary. Awards may be granted singly, in combination, or in tandem. The authority of the Committee shall include the following:
          (a) To select the key employees of the Company or a Subsidiary to whom Awards may be granted under the Plan;
          (b) To determine whether and to what extent Options, Stock Appreciation Rights, Restricted Stock, Performance Shares and Other Stock-Based Awards, or any combination thereof are to be granted under the Plan;
          (c) To determine the number of shares of Common Stock to be covered by each Award;
          (d) To determine the terms and conditions of any Award Agreement, including, but not limited to, the Option Price, any vesting restriction or limitation, any vesting schedule or acceleration thereof, or any forfeiture restrictions or waiver thereof, regarding any Award and the shares of Common Stock relating thereto, based on such factors as the Committee shall determine in its sole discretion;
          (e) To determine whether, to what extent and under what circumstances grants of Awards are to operate on a tandem basis and/or in conjunction with or apart from other cash compensation arrangement made by the Company other than under the terms of this Plan;
          (f) To determine under what circumstances an Award may be settled in cash, Common Stock, or a combination thereof; and
          (g) To determine to what extent and under what circumstances shares of Common Stock and other amounts payable with respect to an Award shall be deferred.
     The Committee shall have the authority to adopt, alter and repeal such administrative rules, guidelines and practices governing the Plan as it shall, from time to time, deem advisable, to interpret the terms and provisions of the Plan and any Award issued under the Plan (including any Award Agreement) and to otherwise supervise the administration of the Plan. A majority of the Committee shall constitute a quorum, and the acts of a majority of a quorum at any meeting, or acts reduced to or approved in writing by a majority of the members of the Committee, shall be the valid acts of the Committee. The interpretation and construction by the Committee of any provisions of the Plan or any Award granted under the Plan shall be final and binding upon the Company, the Board and Participants, including their respective heirs, executors and assigns. No member of the Board or the Committee shall be liable for any action or determination made in good faith with respect to the Plan or an Award granted hereunder.
ARTICLE 4
COMMON STOCK SUBJECT TO THE PLAN
     Subject to adjustment as provided in Section 13.1, the maximum aggregate number of shares of Common Stock which may be issued under this Plan, which may be either unauthorized and unissued Common Stock or issued Common Stock reacquired by the Company (“Plan Shares”), shall be:
          (a) 1,000,000 Shares; plus
          (b) shares approved but not covered by options or other stock rights granted under the 1997 Long Term Incentive Plan.

A-4


Table of Contents

          (c) an annual increase in the number of Shares determined and to be effective on the date of each annual meeting of the Company’s shareholders (commencing with the annual meeting in the year 2000), equal to the lesser of (i) 200,000 Shares, (ii) one percent (1.0%) of the sum of (1) the outstanding Shares, plus (2) the number of Shares subject to outstanding options issues under the Plan on such date, or (iii) such number of Shares as determined by the Board.
     Determinations as to the number of Plan Shares that remain available for issuance under the Plan shall be made in accordance with such rules and procedures as the Committee shall determine from time to time. If an Award expires unexercised or is forfeited, canceled, terminated or settled in cash in lieu of Common Stock, the shares of Common Stock that were theretofore subject (or potentially subject) to such Award may again be made subject to an Award Agreement. In addition, Shares from the following sources shall be added to the number of Plan Shares available for issuance under the Plan: (1) any Shares of the Company’s Common Stock surrendered in payment of the exercise price of Options or to pay the tax withholding obligations incurred upon the exercise of Options; and (2) Options withheld to pay the exercise price or tax withholding obligations incurred upon the exercise of Options.
ARTICLE 5
ELIGIBILITY
     The persons who shall be eligible to receive Awards under the Plan shall be such key employees of the Company or a Subsidiary as the Committee shall select from time to time. In making such selections, the Committee shall consider the nature of the services rendered by such employees, their present and potential contribution to the Company’s success and the success of the particular Subsidiary or division of the Company by which they are employed, and such other factors as the Committee in its discretion shall deem relevant. Participants may hold more than one Award, but only on the terms and subject to the restrictions set forth in the Plan and their respective Award Agreements. No participant may receive Awards under the Plan covering more than twenty-five percent (25%) of Plan Shares.
ARTICLE 6
STOCK OPTIONS
     6.1 Options. Options may be granted alone or in addition to other Awards granted under this Plan. Each Option granted under this Plan shall be either an Incentive Stock Option (ISO) or a Nonqualified Stock Option (NQSO).
     6.2 Grants. The Committee shall have the authority to grant to any Participant one or more Incentive Stock Options, Nonqualified Stock Options, or both types of Options. To the extent that any Option does not qualify as an Incentive Stock Option (whether because of its provisions or the time or manner of its exercise or otherwise), such Option or the portion thereof which does not qualify shall constitute a separate Nonqualified Stock Option.
     6.3 Incentive Stock Options. No term of this Plan relating to Incentive Stock Options shall be interpreted, amended or altered, nor shall any discretion or authority granted under the Plan be so exercised, so as to disqualify the Plan under Section 422 of the Code, or, without the consent of the Participants affected, to disqualify any Incentive Stock Option under such Section 422. The aggregate Fair Market Value, determined on the Award Date of the shares of Common Stock with respect to which one or more Incentive Stock Options (or other incentive stock options within the meaning of Section 422 of the Code, under all other option plans of the Company) that are exercisable for the first time by a Participant during any calendar year shall not exceed the $100,000 limitation imposed by Section 422(d) of the Code.
     6.4 Terms of Options. Options granted under the Plan shall be evidenced by Award Agreements in such form as the Committee shall from time to time approve. Each Agreement shall comply with and be subject to the following terms and conditions:
          (a) Participant’s Agreement. Each Participant shall agree to remain in the continuous employ of the Company for a period of at least twelve (12) months from the Award Date or until Retirement, if Retirement occurs prior to twelve (12) months from the date of the Option. Such Agreement shall not impose upon the Company any obligation to retain the Participant in its employ for any period.

A-5


Table of Contents

          (b) Option Price. The Option Price per share of Common Stock purchasable under an Option shall be determined by the Committee at the time of grant but shall be not less than one hundred percent (100%) of the Fair Market Value of the Common Stock at the Award Date, provided that the Option Price per share of Common Stock subject to an Incentive Stock Option granted to an Insider shall be no less than 110 percent of the Fair Market Value of the shares of Common Stock on the Award Date.
          (c) Option Term. The term of each Option shall be fixed by the Committee, but no Option which is designated as an ISO shall be exercisable more than ten (10) years after the date the ISO is granted, provided that the term of any Incentive Stock Option granted to an Insider shall not exceed five (5) years.
          (d) Exercisability. Except as provided in Section 13.2, no Option shall be exercisable either in whole or in part prior to the first anniversary of the Award Date. Thereafter, an Option shall be exercisable at such time or times and subject to such terms and conditions (including but not limited to vesting provisions) as shall be determined by the Committee and set forth in the Award Agreement. If the Committee provides that any Option is exercisable only in installments, the Committee may at any time waive such installment exercise provisions, in whole or in part, based on such factors as the Committee may determine.
          (e) Method of Exercise. Subject to whatever installment exercise and waiting period provisions apply under subsection (d) above, Options may be exercised in whole or in part at any time during the term of the Option, by giving written notice of exercise to the Company specifying the number of shares to be purchased. Such notice shall be accompanied by payment in full of the purchase price in such form as the Committee may accept. Notwithstanding the foregoing, an Option shall not be exercisable with respect to less than 100 shares of Common Stock unless the remaining shares covered by an Option are fewer than 100 shares. If and to the extent determined by the Committee in its sole discretion at or after grant, payment in full or in part may also be made in the form of Common Stock owned by the Participant (and for which the Participant has good title free and clear of any liens and encumbrances and with respect to any shares of Common Stock acquired upon the exercise of an Option, has been held by the Optionee for a period of at least six (6) consecutive months) or Restricted Stock, or by reduction in the number of shares issuable upon such exercise based, in each case, on the Fair Market Value of the Common Stock on the last trading date preceding payment as determined by the Committee (without regard to any forfeiture restrictions applicable to Restricted Stock). No shares of stock shall be issued until payment has been made. A Participant shall generally have the rights to dividends or other rights of a shareholder with respect to shares subject to the Option when the person exercising such option has given written notice of exercise, has paid for such shares as provided herein, and, if requested, has given the representation described in Section 14.1 of the Plan. Notwithstanding the foregoing, if payment in full or in part has been made in the form of Restricted Stock, an equivalent number of shares of Common Stock issued on exercise of the Option shall be subject to the same restrictions and conditions, and during the remainder of the Restriction Period [as defined in Section 8.3(a)], applicable to the shares of Restricted Stock surrendered therefore.
          (f) Transferability of Options. No Option may be sold, transferred, pledged, assigned, or otherwise alienated or hypothecated, other than by will or by the laws of descent and distribution, provided, however, the Committee may, in its discretion, authorize all or a portion of a Nonqualified Stock Option to be granted to an optionee to be on terms which permit transfer by such optionee to a Permitted Transferee, provided that (i) there may be no consideration for any such transfer (other than the receipt of or interest in a family partnership or limited liability company), (ii) the stock option agreement pursuant to which such options are granted must be approved by the Committee, and must expressly provide for transferability in a manner consistent with this Section 6.4(f), and (iii) subsequent transfers of transferred options shall be prohibited except those in accordance with Section 6.4(i). Following transfer, any such options shall continue to be subject to the same terms and conditions as were applicable immediately prior to transfer. The events of termination of service of Sections 6.4(g), (h) and (i) hereof, and the tax withholding obligations of Section 13.3 shall continue to be applied with respect to the original optionee, following which the options shall be exercisable by the Permitted Transferee only to the extent, and for the periods specified in Sections 6(g), (h), and (i). The Company shall not be obligated to notify Permitted Transferee(s) of the expiration or termination of any option. Further, all Options shall be exercisable during the Participant’s lifetime only by such Participant and, in the case of a Nonqualified Stock Option, by a Permitted Transferee. The designation of a person entitled to exercise an Option after a person’s death will not be deemed a transfer.

A-6


Table of Contents

          (g) Termination of Employment for Reasons other than Disability or Death. Upon Termination of Employment for any reason other than on account of Disability or death, each Option held by the Participant shall, to the extent rights to purchase shares under such Option have accrued at the date of such Termination of Employment and shall not have been fully exercised, be exercisable, in whole or in part, at any time within a period of three (3) months following Termination of Employment, subject, however, to prior expiration of the term of such Options and any other limitations on the exercise of such Options in effect at the date of exercise. Whether an authorized leave of absence or absence because of military or governmental service shall constitute Termination of Employment for such purposes shall be determined by the Committee, which determination shall be final and conclusive.
          (h) Termination of Employment for Disability. Upon Termination of Employment by reason of Disability, each Option held by such Participant shall, to the extent rights to purchase shares under the Option have accrued at the date of such Retirement or Disability and shall not have been fully exercised, remain exercisable in whole or in part, for a period of one (1) year following such Termination of Employment, subject, however, to prior expiration according to its terms and other limitations imposed by the Plan. If the Participant dies after such Retirement or Disability, the Participant’s Options shall be exercisable in accordance with Section 6.4(i) below.
          (i) Termination of Employment for Death. Upon Termination of Employment due to death, each Option held by such Participant or Permitted Transferee shall, to the extent rights to purchase shares under the Options have accrued at the date of death and shall not have been fully exercised, be exercisable, in whole or in part, by the personal representative of the estate of the Participant or Permitted Transferee or by any person or persons who shall have acquired the Option directly from the Participant or Permitted Transferee by bequest or inheritance only under the following circumstances and during the following periods: (i) if the Participant dies while employed by the Company or a Subsidiary, at any time within one (1) year after his or her death, or (ii) if the Participant dies during the extended exercise period following Termination of Employment specified in Section 6.4(h), at any time within the longer of such extended period or three (3) months after death, subject, however, in any case, to the prior expiration of the term of the Option and any other limitation on the exercise of such Option in effect at the date of exercise.
          (j) Termination of Options. Any Option that is not exercised within whichever of the exercise periods specified in Sections 6.4(g), (h) or (i) is applicable shall terminate upon expiration of such exercise period.
          (k) Purchase and Settlement Provisions. The Committee may at any time offer to purchase an Option previously granted, based on such terms and conditions as the Committee shall establish and communicate to the Participant at the time that such offer is made. In addition, if an Award Agreement so provides at the Award Date or is thereafter amended to so provide, the Committee may require that all or part of the shares of Common Stock to be issued with respect to the exercise of an Option, in an amount not greater than the Fair Market Value of the shares that is in excess of the aggregate Option Price, take the form of Performance Shares or Restricted Stock, which shall be valued on the date of exercise on the basis of the Fair Market Value of such Performance Shares or Restricted Stock determined without regard to the deferral limitations and/or forfeiture restrictions involved.
     6.5 Reload Options. Without in any way limiting the authority of the Committee to make grants hereunder, and in order to induce employees to retain ownership of shares of Common Stock, the Committee shall have the authority (but not an obligation) to include within any Award Agreement a provision entitling the Participant to a further Option (a “Reload Option”) in the event the Participant exercises the Option evidenced by the Award Agreement, in whole or in part, by surrendering shares of Common Stock previously owned by the Participant, in accordance with this Plan and the terms and conditions of the Award Agreement. A Reload Option shall entitle a Participant to purchase a number of shares of Common Stock equal to the number of such shares so delivered upon exercise of the original Option and, in the discretion of the Committee, the number of shares, if any, tendered to the Company to satisfy any withholding tax liability arising in connection with the exercise of the original Option. A Reload Option shall: (a) have an Option Price of not less than one hundred percent (100%) of the per share Fair Market Value of the Common Stock on the date of grant of such Reload Option; (b) have a term not longer than the remaining term of the original Option at the time of exercise thereof; (c) become exercisable in the event the shares acquired upon exercise of the original Option are held for a minimum period of time established by the Committee; and (d) be subject to such other terms and conditions as the Committee may determine.

A-7


Table of Contents

ARTICLE 7
STOCK APPRECIATION RIGHTS
     7.1 Grant of SARs. The Committee may approve the grant of Stock Appreciation Rights (“SARs”) that are related to Options only. A SAR may be granted only at the time of grant of the related Option. A SAR will entitle the holder of the related Option, upon exercise of the SAR, to surrender such Option, or any portion thereof to the extent unexercised, with respect to the number of shares as to which such SAR is exercised, and to receive payment of an amount computed pursuant to Section 7.2. Such Option will, to the extent surrendered, then cease to be exercisable. A SAR granted hereunder will be exercisable at such time or times, and only to the extent that a related Option is exercisable, and will not be transferable except to the extent that such related Option may be transferable.
     7.2 Payment of SAR Amount. Upon the exercise of a SAR, a Participant shall be entitled to receive payment from the Company in an amount determined by multiplying (i) the difference between the Fair Market Value of a share of Common Stock on the date of exercise over the Option Price, by (ii) the number of shares of Common Stock with respect to which the SAR is exercised. At the discretion of the Committee, the payment upon SAR exercise may be in cash, in shares of Common Stock of equivalent value, or in some combination thereof.
ARTICLE 8
RESTRICTED STOCK
     8.1 Awards of Restricted Stock. Shares of Restricted Stock may be issued either alone or in addition to other Awards granted under the Plan. The Committee shall determine the eligible persons to whom, and the time or times at which, grants of Restricted Stock will be made, the number of shares to be awarded, the price (if any) to be paid by the Participant, the time or times within which such Awards may be subject to forfeiture, the vesting schedule and rights to acceleration thereof, and all other terms and conditions of the Awards. The Committee may condition the grant of Restricted Stock upon the achievement of specific business objectives, measurements of individual or business unit or Company performances, or such other factors as the Committee may determine. The provisions of Restricted Stock awards need not be the same with respect to each Participant, and such Awards to individual Participants need not be the same in subsequent years.
     8.2 Awards and Certificates. A prospective Participant selected to receive a Restricted Stock shall not have any rights with respect to such Award, unless and until such Participant has executed an Award Agreement evidencing the Award and has delivered a fully executed copy thereof to the Company, and has otherwise complied with the applicable terms and conditions of such Award. Further, such Award shall be subject to the following conditions:
          (a) Acceptance. Awards of Restricted Stock must be accepted within a period of 20 days (or such shorter period as the Committee may specify at grant) after the Award Date, by executing an Award Agreement and by paying whatever price (if any) the Committee has designated for such shares of Restricted Stock.
          (b) Legend. Each Participant receiving a Restricted Stock Award shall be issued a stock certificate in respect of such shares of Restricted Stock. Such certificate shall be registered in the name of such Participant, and shall bear an appropriate legend referring to the terms, conditions, and restrictions applicable to such Award, substantially in the following form:
“The transferability of this certificate and the shares of stock represented hereby are subject to the terms and conditions (including forfeiture) of the Universal Forest Products, Inc. Long Term Stock Incentive Plan and related Award Agreement entered into between the registered owner and the Company, dated ______. Copies of such Plan and Agreement are on file in the offices of the Company, 2801 East Beltline NE, Grand Rapids, Michigan 49525.”
          (c) Custody. The Committee may require that the stock certificates evidencing such shares be held in custody by the Company until the restrictions thereon shall have lapsed, and that, as a condition of any award of Restricted Stock, the Participant shall have delivered a duly signed stock power, endorsed in blank, relating to the Common Stock covered by such Award.

A-8


Table of Contents

     8.3 Restrictions and Conditions. The shares of Restricted Stock awarded pursuant to this Plan shall be subject to the following restrictions and conditions:
          (a) Restriction Period. Subject to the provisions of this Plan and the Award Agreement, during a period set by the Committee commencing with the Award Date and expiring not less than twelve (12) consecutive months thereafter (the “Restriction Period”), the Participant shall not be permitted to sell, transfer, pledge, or assign shares of Restricted Stock awarded under this Plan. Subject to these limits, the Committee, in its sole discretion, may provide for the lapse of such restrictions in installments and may accelerate or waive such restrictions in whole or in part, based on service, performance and/or such other factors or criteria as the Committee may determine.
          (b) Rights as Shareholder. Except as provided in this subsection (b) and subsection (a) above, the Participant shall have, with respect to the shares of Restricted Stock, all of the rights of a holder of shares of Common Stock of the Company including the right to receive any dividends. The Committee, in its sole discretion, as determined at the time of Award, may permit or require the payment of dividends to be deferred. If any dividends or other distributions are paid in shares of Common Stock, such shares shall be subject to the same restrictions on transferability and forfeitability as the shares of Restricted Stock with respect to which they were paid.
          (c) Termination of Employment. Subject to the applicable provisions of the Award Agreement and this Article 8, upon Termination of Employment for any reason during the Restriction Period, all Restricted Shares still subject to restriction will vest or be forfeited in accordance with the terms and conditions established by the Committee as specified in the Award Agreement.
          (d) Lapse of Restrictions. If and when the Restriction Period expires without a prior forfeiture of the Restricted Stock, the certificates for such shares shall be delivered to the Participant.
ARTICLE 9
PERFORMANCE SHARES
     9.1 Award of Performance Shares. Performance Shares may be awarded either alone or in addition to other Awards granted under this Plan. The Committee shall determine the eligible persons to whom and the time or times at which Performance Shares shall be awarded, the number of Performance Shares to be awarded to any person, the duration of the period (the “Performance Period”) during which, and the conditions under which, receipt of the Performance Shares will be deferred, and the other terms and conditions of the Award in addition to those set forth in Section 9.2, as specified in the Award Agreement. The Committee may condition the grant of Performance Shares upon the achievement of specific business objectives, measurements of individual or business unit or Company performance, or such other factors or criteria as the Committee shall determine. The provisions of the award of Performance Shares need not be the same with respect to each Participant, and such Awards to individual Participants need not be the same in subsequent years.
     9.2 Terms and Conditions. Performance Shares awarded pursuant to this Article 9 shall be subject to the following terms and conditions:
          (a) Nontransferability. Subject to the provisions of this Plan and the related Award Agreement, Performance Shares may not be sold, assigned, transferred, pledged or otherwise encumbered during the Performance Period. At the expiration of the Performance Period, share certificates or cash of an equivalent value (as the Committee may determine in its sole discretion) shall be delivered to the Participant, or his legal representative, in a number equal to the shares covered by the Award Agreement.
          (b) Dividends. Unless otherwise determined by the Committee at the time of Award, amounts equal to any cash dividends declared during the Performance Period with respect to the number of shares of Common Stock covered by a Performance Share Award will not be paid to the Participant.
          (c) Termination of Employment. Subject to the provisions of the Award Agreement and this Article 9, upon Termination of Employment for any reason during the Performance Period for a given Award, the

A-9


Table of Contents

Performance Shares in question will vest or be forfeited in accordance with the terms and conditions established by the Committee at or after grant.
          (d) Accelerated Vesting. Based on service, performance and/or such other factors or criteria as the Committee may determine and set forth in the Award Agreement, the Committee may, at or after grant, accelerate the vesting of all or any part of any award of Performance Shares and/or waive the deferral limitations for all or any part of such Award.
ARTICLE 10
OTHER STOCK-BASED AWARDS
     10.1 Other Awards. Other Awards of Common Stock and other Awards that are valued in whole or in part by reference to, or are payable in or otherwise based on, Common Stock (“Other Stock-Based Awards”), may be granted either alone or in addition to or in tandem with Options, SARs, Restricted Stock or Performance Shares. Subject to the provisions of this Plan, the Committee shall have authority to determine the persons to whom and the time or times at which such Awards shall be made, the number of shares of Common Stock to be awarded pursuant to such awards, and all other conditions of the Awards. The Committee may also provide for the grant of Common Stock under such Awards upon the completion of a specified performance period. The provisions of Other Stock-Based Awards need not be the same with respect to each Participant and such Awards to individual Participants need not be the same in subsequent years.
     10.2 Terms and Conditions. Other Stock-Based Awards made pursuant to this Article 10 shall be set forth in an Award Agreement and shall be subject to the following terms and conditions:
          (a) Nontransferability. Subject to the provisions of this Plan and the Award Agreement, shares of Common Stock subject to Awards made under this Article 10 may not be sold, assigned, transferred, pledged, or otherwise encumbered prior to the date on which the shares are issued, or, if later, the date on which any applicable restriction, performance or deferral period lapses.
          (b) Dividends. Unless otherwise determined by the Committee at the time of Award, subject to the provisions of this Plan and the Award Agreement, the recipient of an Award under this Article 10 shall be entitled to receive, currently or on a deferred stock basis, dividends or other distributions with respect to the number of shares of Common Stock covered by the Award.
          (c) Vesting. Any Award under this Article 10 and any Common Stock covered by any such Award shall vest or be forfeited to the extent so provided in the Award Agreement, as determined by the Committee, in its sole discretion.
          (d) Waiver of Limitation. In the event of the Participant’s Retirement, Disability or death, or in cases of special circumstances, the Committee may, in its sole discretion, waive in whole or in part any or all of the limitations imposed hereunder (if any) with respect to any or all of an Award under this Article 10.
          (e) Price. Common Stock issued or sold under this Article 10 may be issued or sold for no cash consideration or such consideration as the Committee shall determine and specify in the Award Agreement.
ARTICLE 11
TERMINATION OR AMENDMENT OF THE PLAN
     The Board may at any time amend, discontinue or terminate this Plan or any part thereof (including any amendment deemed necessary to ensure that the Company may comply with any applicable regulatory requirement); provided, however, that, unless otherwise required by law, the rights of a Participant with respect to Awards granted prior to such amendment, discontinuance or termination, may not be impaired without the consent of such Participant and, provided further, without the approval of the Company’s shareholders, no amendment may be made which would (i) increase the aggregate number of shares of Common Stock that may be issued under this Plan (except by operation of Article 4 or by Section 13.1); or (ii) decrease the option price of any Option to less than one hundred percent (100%) of

A-10


Table of Contents

the Fair Market Value on the date of grant for an Option. Awards may not be granted under the Plan after the Termination Date, but Awards granted prior to such date shall remain in effect or become exercisable pursuant to their respective terms and the terms of this Plan.
ARTICLE 12
UNFUNDED PLAN
     This Plan is intended to constitute an “unfunded” plan for incentive and deferred compensation. With respect to any payment not yet made to a Participant by the Company, nothing contained herein shall give any such Participant any rights that are greater than those of a general creditor of the Company.
ARTICLE 13
ADJUSTMENT PROVISIONS
     13.1 Antidilution. Subject to the provisions of this Article 13, if the outstanding shares of Common Stock are increased, decreased, or exchanged for a different number or kind of shares or other securities, or if additional shares or new or different shares or other securities are distributed with respect to such shares of Common Stock or other securities, through merger, consolidation, sale of all or substantially all of the assets of the Company, reorganization, recapitalization, reclassification, stock dividend, stock split, reverse stock split or other distribution with respect to such shares of Common Stock or other securities, an appropriate and proportionate adjustment may be made in (i) the maximum number and kind of shares provided in Article 4 of the Plan, (ii) the number and kind of shares or other securities subject to the then outstanding Awards, and (iii) the price for each share or other unit of any other securities subject to the then outstanding Awards.
     13.2 Change in Control. Notwithstanding Section 13.1, upon dissolution or liquidation of the Company, or upon a reorganization, merger, or consolidation of the Company with one or more corporations as a result of which the Company is not the surviving corporation, or upon the sale of all or substantially all the assets of the Company, all Awards then outstanding under the Plan will be fully vested and exercisable and all restrictions will immediately cease, unless provisions are made in connection with such transaction for the continuance of the Plan and the assumption of or the substitution for such Awards of new Awards covering the stock of a successor employer corporation, or a parent or subsidiary thereof, with appropriate adjustments as to the number and kind of shares and prices.
     13.3 Adjustments by Committee. Any adjustments pursuant to this Article 13 will be made by the Committee, whose determination as to what adjustments will be made and the extent thereof will be final, binding, and conclusive. No fractional interest will be issued under the Plan on account of any such adjustments. Only cash payments will be made in lieu of fractional shares.
ARTICLE 14
GENERAL PROVISIONS
     14.1 Legend. The Committee may require each person purchasing shares pursuant to an Award under the Plan to represent to and agree with the Company in writing that the Participant is acquiring the shares without a view to distribution thereof. In addition to any legend required by this Plan, the certificates for such shares may include any legend which the Committee deems appropriate to reflect any restrictions on transfer.
     All certificates for shares of Common Stock delivered under the Plan shall be subject to such stock transfer orders and other restrictions as the Committee may deem advisable under the rules, regulations and other requirements of the Securities and Exchange Commission, any stock exchange upon which the Stock is then listed, any applicable Federal or state securities law, and any applicable corporate law, and the Committee may cause a legend or legends to be put on any such certificates to make appropriate reference to such restrictions.
     14.2 No Right to Employment. Neither this Plan nor the grant of any Award hereunder shall give any Participant or other employee any right with respect to continuance of employment by the Company or any Subsidiary, nor shall there be a limitation in any way on the right of the Company or any Subsidiary by which an employee is employed to terminate his or her employment at any time.

A-11


Table of Contents

     14.3 Withholding of Taxes. The Company shall have the right to deduct from any payment to be made pursuant to this Plan, or to otherwise require, prior to the issuance or delivery of any shares of Common Stock or the payment of any cash hereunder, payment by the Participant of, any Federal, state or local taxes required by law to be withheld. Unless otherwise prohibited by the Committee, each Participant may satisfy any such withholding tax obligation by any of the following means or by a combination of such means: (a) tendering a cash payment; (b) authorizing the Company to withhold from the shares otherwise issuable to the Participant a number of shares having a Fair Market Value as of the “Tax Date”, less than or equal to the amount of the withholding tax obligation; or (c) delivering to the Company unencumbered shares owned by the Participant having a Fair Market Value, as of the Tax Date, less than or equal to the amount of the withholding tax obligation. The “Tax Date” shall be the date that the amount of tax to be withheld is determined.
     14.4 No Assignment of Benefits. No Option, Award or other benefit payable under this Plan shall, except as otherwise specifically transfer, provided by law, be subject in any manner to anticipation, alienation, attachment, sale, transfer, assignment, pledge, encumbrance or charge, and any attempt to anticipate, alienate, attach, sell, transfer, assign, pledge, encumber or charge, any such benefits shall be void, and any such benefit shall not in any manner be liable for or subject to the debts, contracts, liabilities, engagements or torts of any person who shall be entitled to such benefit, nor shall it be subject to attachment or legal process for or against such person.
     14.5 Governing Law. This Plan and actions taken in connection herewith shall be governed and construed in accordance with the laws and in the courts of the state of Michigan.
     14.6 Application of Funds. The proceeds received by the Company from the sale of shares of Common Stock pursuant to Awards granted under this Plan will be used for general corporate purposes.
     14.7 Rights as a Shareholder. Except as otherwise provided in an Award Agreement, a Participant shall have no rights as a shareholder of the Company until he or she becomes the holder of record of Common Stock.

A-12


Table of Contents

(PROXY CARD)
UNIVERSAL FOREST PRODUCTS, INC. 2801 EAST BELTLINE, NE GRAND RAPIDS, MI 49525 VOTE BY INTERNET - www.proxyvote.com Use the Internet to transmit your voting instructions and for electronic delivery of information up until 11:59 P.M. Eastern Time the day before the cut-off date or meeting date. Have your proxy card in hand when you access the web site and follow the instructions to obtain your records and to create an electronic voting instruction form. ELECTRONIC DELIVERY OF FUTURE SHAREHOLDER COMMUNICATIONS If you would like to reduce the costs incurred by Universal Forest Products, Inc. in mailing proxy materials, you can consent to receiving all future proxy statements, proxy cards and annual reports electronically via e-mail or the Internet. To sign up for electronic delivery, please follow the instructions above to vote using the Internet and, when prompted, indicate that you agree to receive or access shareholder communications electronically in future years. VOTE BY PHONE — 1-800-690-6903 Use any touch-tone telephone to transmit your voting instructions up until 11:59 P.M. Eastern Time the day before the cut-off date or meeting date. Have your proxy card in hand when you call and then follow the instructions. VOTE BY MAIL Mark, sign and date your proxy card and return it in the postage-paid envelope we have provided or return it to Universal Forest Products, Inc., c/o Broadridge, 51 Mercedes Way, Edgewood, NY 11717. TO VOTE MARK BLOCKS BELOW IN BLUE OR BLACK INK AS FOLLOWS. UNFTP1 KEEP THIS PROTION FOR YOUR RECORDS DETACH AND RETURN THIS PORTION ONLY THIS PROXY CARD IS VAILD ONLY WHEN SIGED UNIVERSALFORESTPRODUCTS,INC. THE BOARD OF DIRECTORS RECOMMENDS A VOTE FOR ALL NOMINEES LISTED IN PROPOSAL1,AND FORPROPOSALS2AND3. 1. To elect THREE Directors to serve a three-year term. Nominees for election as Directors: 01) DanM.Dutton 02) WilliamR.Payne 03) LouisA.Smith Vote On Proposals For Withhold ForAll To withhold authority to vote for any individual nominee(s),mark All All Except “ForAllExcept”andwritethe number(s)ofthenominee(s)onthe linebelow. 2. To approve the amendment and restatement of the Company’s 1999 Long Term Stock Incentive Plan. 3. To ratify the appointment of Ernst & Young LLP asthe Company’sindependent registeredpublicaccounting firm for fiscal 2009. 4. To transact such other business as may properly come before the meeting and any adjournment or postponement. For Against Abstain ThisProxy,whenproperlyexecuted,willbevotedinthemannerdirectedhereinbytheundersignedshareholder. Ifnodirectionis made,thisProxywillbevotedFORallnomineeslis inProposal1andFORProposals2and3. PLEASEDATE,SIGNANDRETURNPROMPTLY. NOTE: Please sign exactly as name appears hereon. When shares are given by joint tenants, both should sign. When signing as attorney, executor, administrator, trustee, or guardian, please give full title as such. Ifa corporation, please sign in full corporate name by president orotherauthorizedofficer. Ifapartnership, pleasesigninpartnershipname byauthorizedperson. Signature[PLEASESIGNWITHINBOX] Date Signature(JointOwners) Date

 


Table of Contents

(PROXY CARD)
Important Notice Regarding the Availability of Proxy Materials for the Annual Meeting: TheNoticeandProxyStatementand AnnualReportareavailableatwww.proxyvote.com. UNIVERSALFORESTPRODUCTS,INC. ThisProxyissolicitedonbehalfoftheBoardofDirectors TheundersignedherebyappointsWilliamG.CurrieandMatthewJ.MissadasProxies,eachwiththe power to appoint his substitute, and hereby authorizes them to represent and to vote, as designated on the reverse side, all the shares of Common Stock of Universal Forest Products, Inc. held of record by the undersigned on February 18, 2009 at the Annual Meeting of ShareholderstobeheldApril15,2009,andat anyadjournmentthereof. (TobeSignedonReverseSide)

 


Table of Contents

(PROXY CARD)
UNIVERSAL FOREST PRODUCTS, INC. ** IMPORTANT NOTICE ** Regarding the Availability of Proxy Materials This communication presents only an overview of the more complete proxy materials that are available to you on the Internet. We encourage you to access and review all of the important information contained in the proxy materials before voting. Shareholder Meeting to be held on 4/15/09 Proxy Materials Available at proxyvote.com Notice and Proxy Statement Annual Report If you want to receive a paper or e-mail copy of these documents, you must request one. There is NO charge for requesting a copy. Requests, instructions and other inquiries will NOT be forwarded to your investment advisor. To facilitate timely delivery please make the request HOW TO VIEW MATERIALS VIA THE INTERNET Have the 12 Digit Control Number available and visit: HOW TO REQUEST A COPY OF MATERIALS 1) BY INTERNET — www.proxyvote.com 2) BY TELEPHONE — 1-800-579-1639 3) BY E-MAIL* — [email protected] *If requesting materials by e-mail, please send a blank e-mail with the 12 Digit Control Number (located on the following page) in the subject line. UNIVERSAL FOREST PRODUCTS, INC. 2801 EAST BELTLINE, NE GRAND RAPIDS, MI 49525 See the Reverse Side for Meeting Information and Instructions on How to Vote R1UFP

 


Table of Contents

(PROXY CARD)
Meeting Information Annual 4/15/09 8:30 A.M. EDT Meeting Type: Meeting Date: Meeting Time: For holders as of: The Universal Forest Products, Inc. Technology and Training Building 2880 East Beltline Lane How To Vote Vote In Person Many shareholder meetings have attendance requirements including, but not limited to, the possession of an attendance ticket issued by the entity holding the meeting. Please check the meeting materials for any special requirements for meeting attendance. At the Meeting, you will need to request a ballot to vote these shares. Vote By Internet To vote now by Internet, go to WWW.PROXYVOTE.COM. Use the Internet to transmit your voting instructions and for electronic delivery of information up until 11:59 P.M. Eastern Time the day before the cut-off date or meeting date. Have your notice in hand when you access the web site and follow the instructions. R1UFP
(PROXY CARD)
Voting items THE BOARD OF DIRECTORS RECOMMENDS A VOTE FOR ALL NOMINEES LISTED IN PROPOSAL 1, AND FOR PROPOSALS 2 AND 3 1. To elect THREE Directors to serve a three-year term. Nominees for election as Directors: 01) Dan M. Dutton 02) William R. Payne 03) Louis A. Smith 2. To approve the amendment and restatement of the Company’s 1999 Long Term Stock Incentive Plan. 3. To ratify the appointment of Ernst & Young LLP as the Company’s independent registered public accounting firm for fiscal 2009. 4. To transact such other business as may properly come before the meeting and any adjournment or postponement. R1UFP